Официальное опубликование правовых актов
ОФИЦИАЛЬНОЕ ОПУБЛИКОВАНИЕ
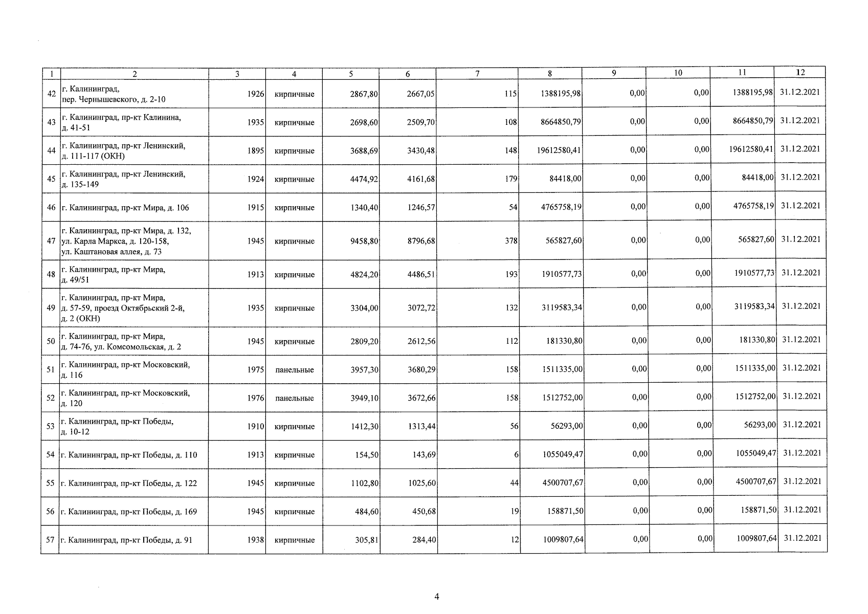
Приказ Министерства строительства и жилищно-коммунального хозяйства Калининградской области от 25.11.2024 № 105
"О внесении изменений в краткосрочный план реализации на 2021 – 2023 годы региональной программы капитального ремонта общего имущества в многоквартирных домах, расположенных на территории Калининградской области"
(Зарегистрирован 26.11.2024 № ГР/925/2024)
Номер опубликования: 3901202411260006
Дата опубликования: 26.11.2024
Страница №6 из 154:
Увеличить