Официальное опубликование правовых актов
ОФИЦИАЛЬНОЕ ОПУБЛИКОВАНИЕ
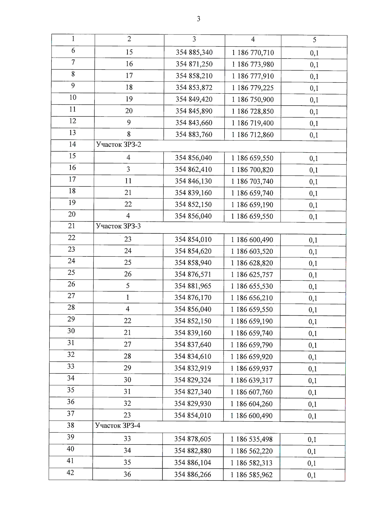
Приказ Службы государственной охраны объектов культурного наследия Калининградской области от 05.04.2024 № 125
"Об установлении зон охраны объекта культурного наследия регионального значения "Вилла Кроне (архитектор Ф. Хайтман)", 1906 год, Калининградская область, город Калининград, улица Каштановая аллея, 5, и утверждении требований к градостроительным регламентам в границах территорий данных зон"
(Зарегистрирован 08.04.2024 № ГР/278/2024)
Номер опубликования: 3901202404090002
Дата опубликования: 09.04.2024
Страница №5 из 11:
Увеличить