Официальное опубликование правовых актов
ОФИЦИАЛЬНОЕ ОПУБЛИКОВАНИЕ
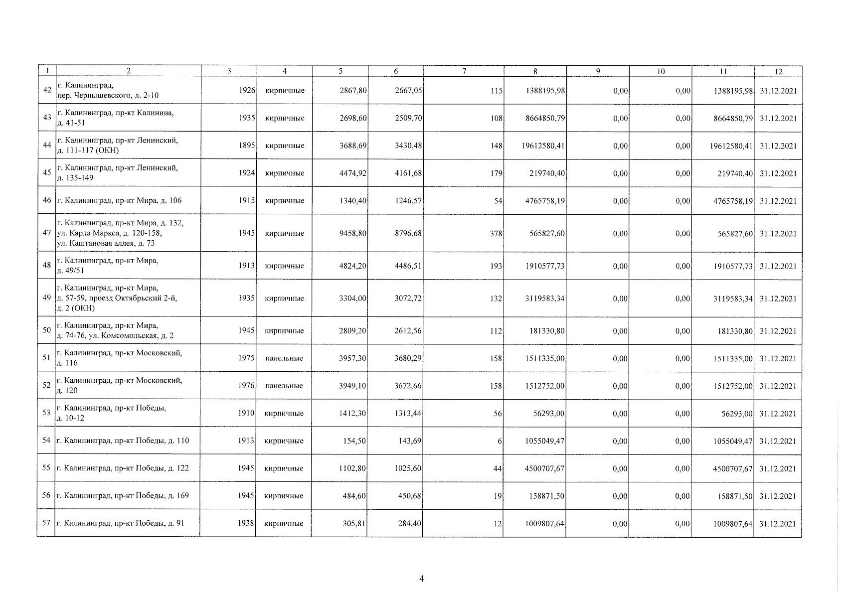
Приказ Министерства строительства и жилищно-коммунального хозяйства Калининградской области от 13.03.2024 № 22
"О внесении изменений в краткосрочный план реализации на 2021 – 2023 годы региональной программы капитального ремонта общего имущества в многоквартирных домах, расположенных на территории Калининградской области"
(Зарегистрирован 13.03.2024 № ГР/194/2024)
Номер опубликования: 3901202403140005
Дата опубликования: 14.03.2024
Страница №6 из 154:
Увеличить