Официальное опубликование правовых актов
ОФИЦИАЛЬНОЕ ОПУБЛИКОВАНИЕ
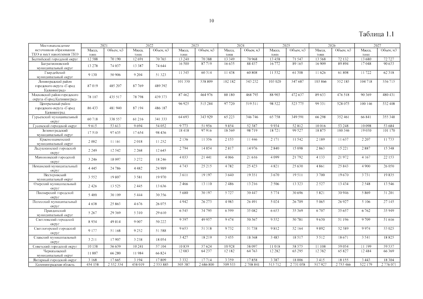
Приказ Министерства природных ресурсов и экологии Калининградской области от 30.01.2024 № 28
"О внесении изменений в приказ Министерства природных ресурсов и экологии Калининградской области от 22 ноября 2019 года № 649"
(Зарегистрирован 06.02.2024 № ГР/67/2024)
Номер опубликования: 3901202402070004
Дата опубликования: 07.02.2024
Страница №11 из 2564:
Увеличить