Официальное опубликование правовых актов
ОФИЦИАЛЬНОЕ ОПУБЛИКОВАНИЕ
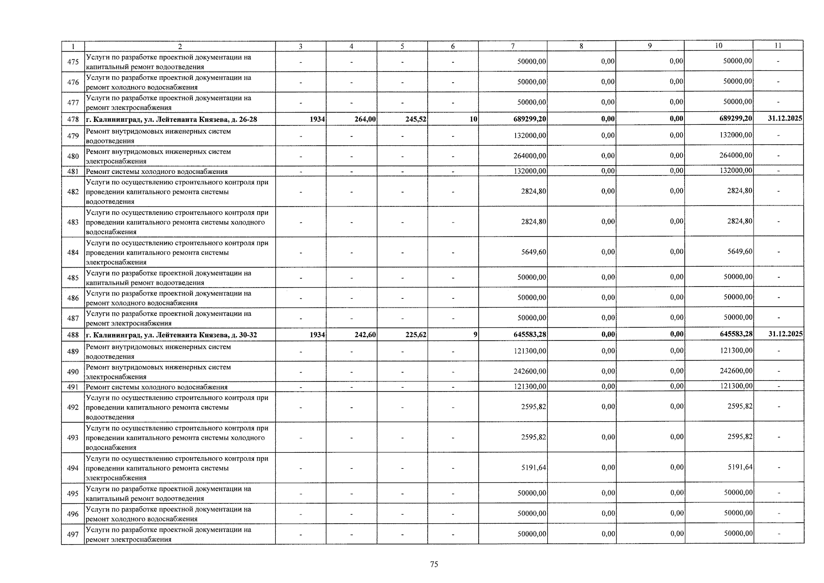
Приказ Министерства строительства и жилищно-коммунального хозяйства Калининградской области от 12.12.2023 № 257
"Об утверждении краткосрочного плана реализации на 2024 – 2026 годы региональной программы капитального ремонта общего имущества в многоквартирных домах, расположенных на территории Калининградской области"
(Зарегистрирован 13.12.2023 № ГР/1163/2023)
Номер опубликования: 3901202312150001
Дата опубликования: 15.12.2023
Страница №76 из 229:
Увеличить