Официальное опубликование правовых актов
ОФИЦИАЛЬНОЕ ОПУБЛИКОВАНИЕ
Постановление Правительства Калининградской области от 27.02.2026 № 64-п
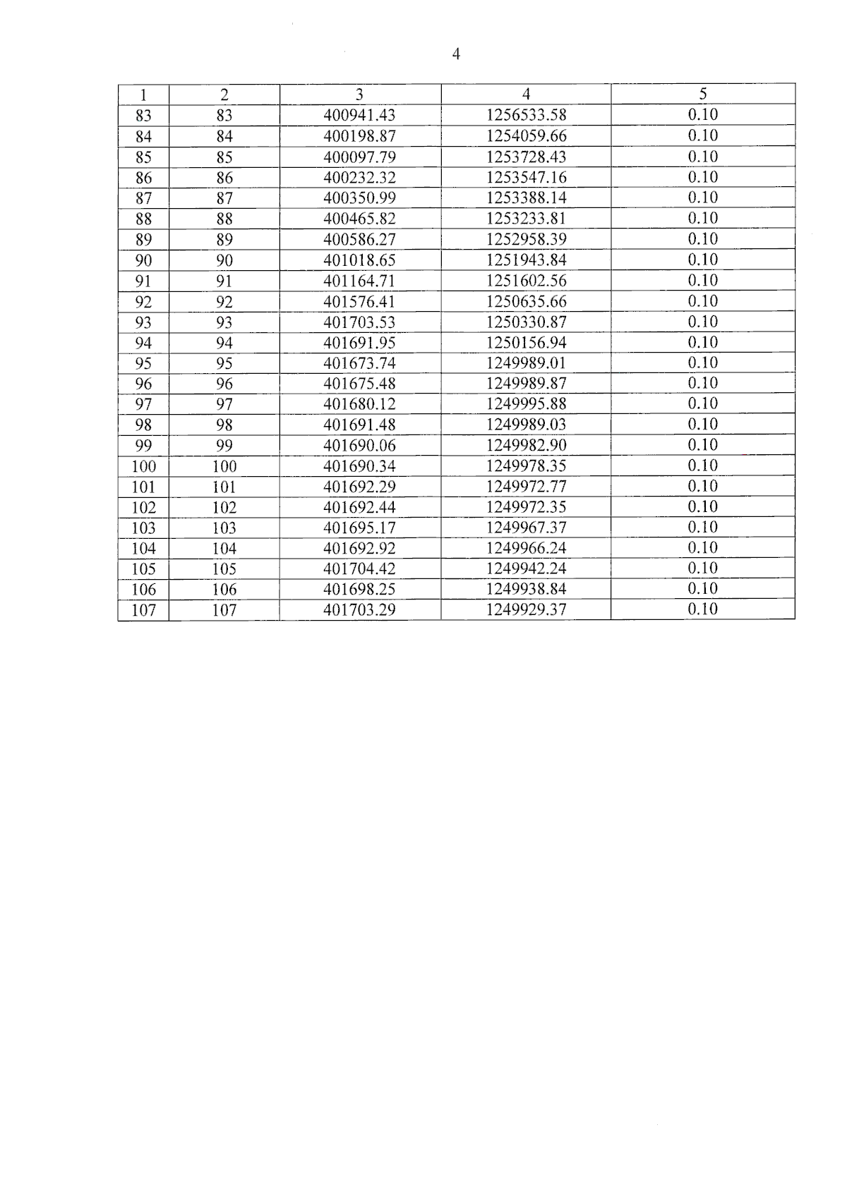
"Об установлении публичного сервитута в целях эксплуатации существующего объекта электросетевого хозяйства регионального значения "Воздушная линия электропередачи 110 кВ № 147 (ПС О-46 ПС О-25) длиной 22,7 км"
Номер опубликования: 3900202603020009
Дата опубликования: 02.03.2026
Страница №12 из 12:
Увеличить