Официальное опубликование правовых актов
ОФИЦИАЛЬНОЕ ОПУБЛИКОВАНИЕ
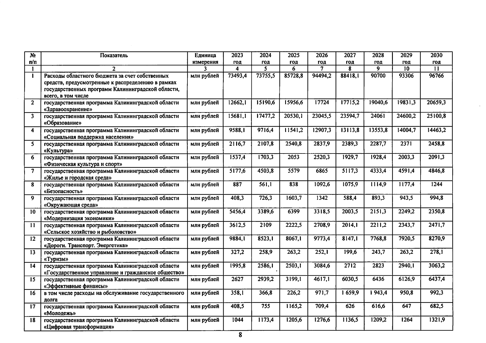
Постановление Правительства Калининградской области от 20.02.2026 № 57-п
"О внесении изменений в бюджетный прогноз Калининградской области на долгосрочный период до 2036 года"
Номер опубликования: 3900202602250001
Дата опубликования: 25.02.2026
Страница №9 из 12:
Увеличить