Официальное опубликование правовых актов
ОФИЦИАЛЬНОЕ ОПУБЛИКОВАНИЕ
Указ Губернатора Калининградской области от 29.10.2025 № 99-у
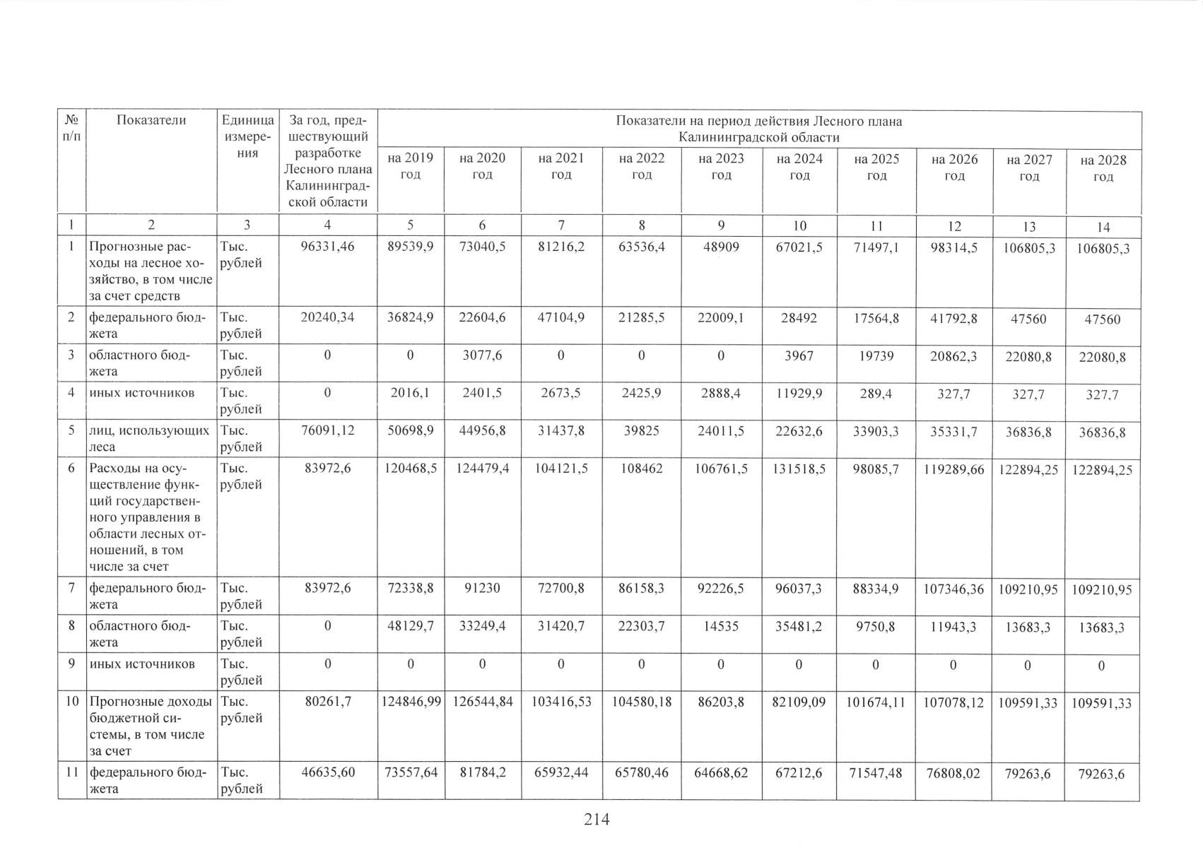
"О внесении изменений в Указ Губернатора Калининградской области от 29 декабря 2018 года № 218 "Об утверждении Лесного плана Калининградской области"
Номер опубликования: 3900202510300012
Дата опубликования: 30.10.2025
Страница №215 из 218:
Увеличить