Официальное опубликование правовых актов
ОФИЦИАЛЬНОЕ ОПУБЛИКОВАНИЕ
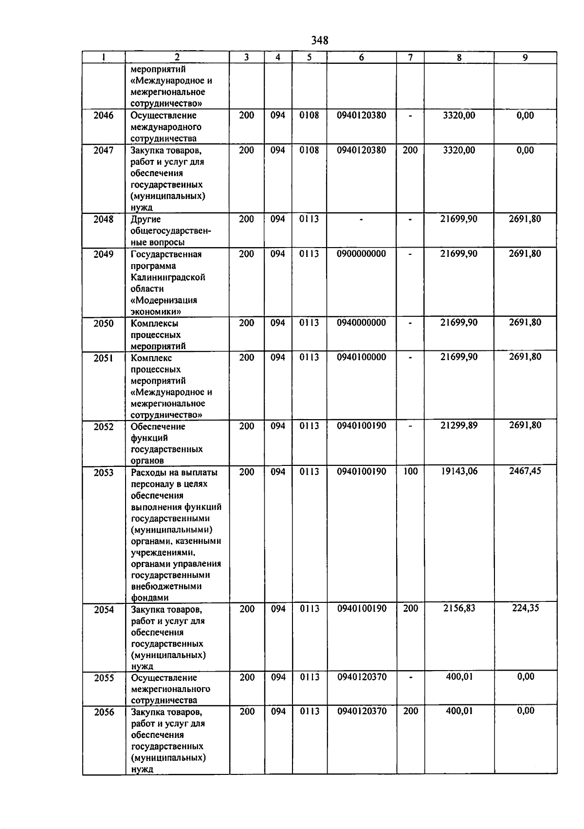
Постановление Правительства Калининградской области от 30.07.2025 № 281-п
"Об утверждении отчета об исполнении областного бюджета за I квартал 2025 года"
Номер опубликования: 3900202507310002
Дата опубликования: 31.07.2025
Страница №349 из 458:
Увеличить