Официальное опубликование правовых актов
ОФИЦИАЛЬНОЕ ОПУБЛИКОВАНИЕ
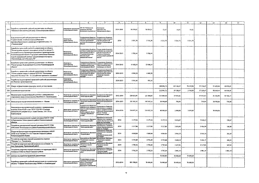
Постановление Правительства Калининградской области от 22.12.2014 № 882
"О внесении дополнения и изменений в целевую программу Калининградской области "Областная инвестиционная программа на 2009-2014 годы"
Номер опубликования: 3900201412310009
Дата опубликования: 31.12.2014
Страница №26 из 27:
Увеличить