Официальное опубликование правовых актов
ОФИЦИАЛЬНОЕ ОПУБЛИКОВАНИЕ
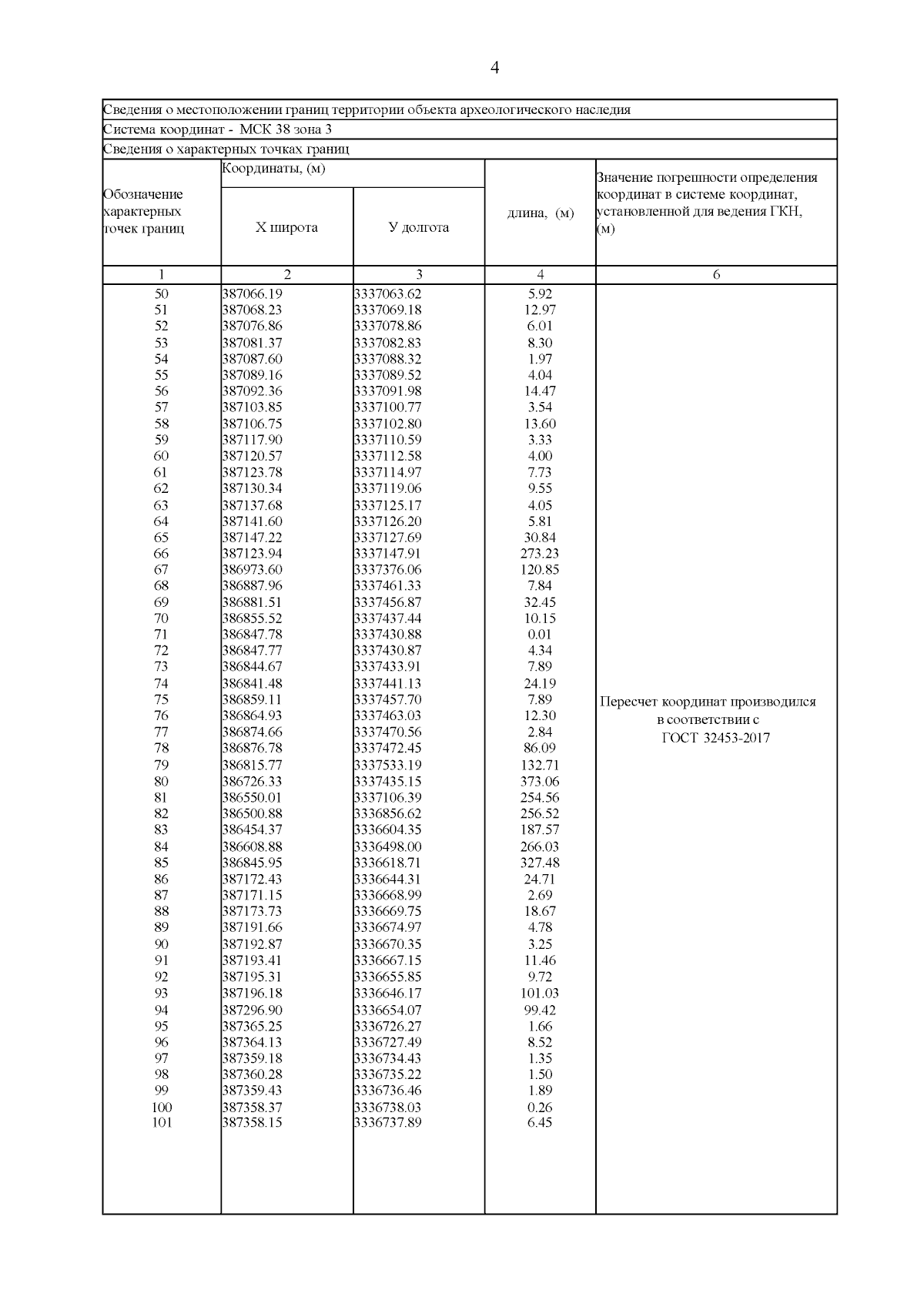
Приказ службы по охране объектов культурного наследия Иркутской области от 26.02.2026 № 76-31-спр
"О внесении изменений в приложения 1, 2 к приказу службы по охране объектов культурного наследия Иркутской области от 21 декабря 2020 года № 427-спр"
(Зарегистрирован 03.03.2026 № 04-0293/26)
Номер опубликования: 3801202603050002
Дата опубликования: 05.03.2026
Страница №6 из 20:
Увеличить