Официальное опубликование правовых актов
ОФИЦИАЛЬНОЕ ОПУБЛИКОВАНИЕ
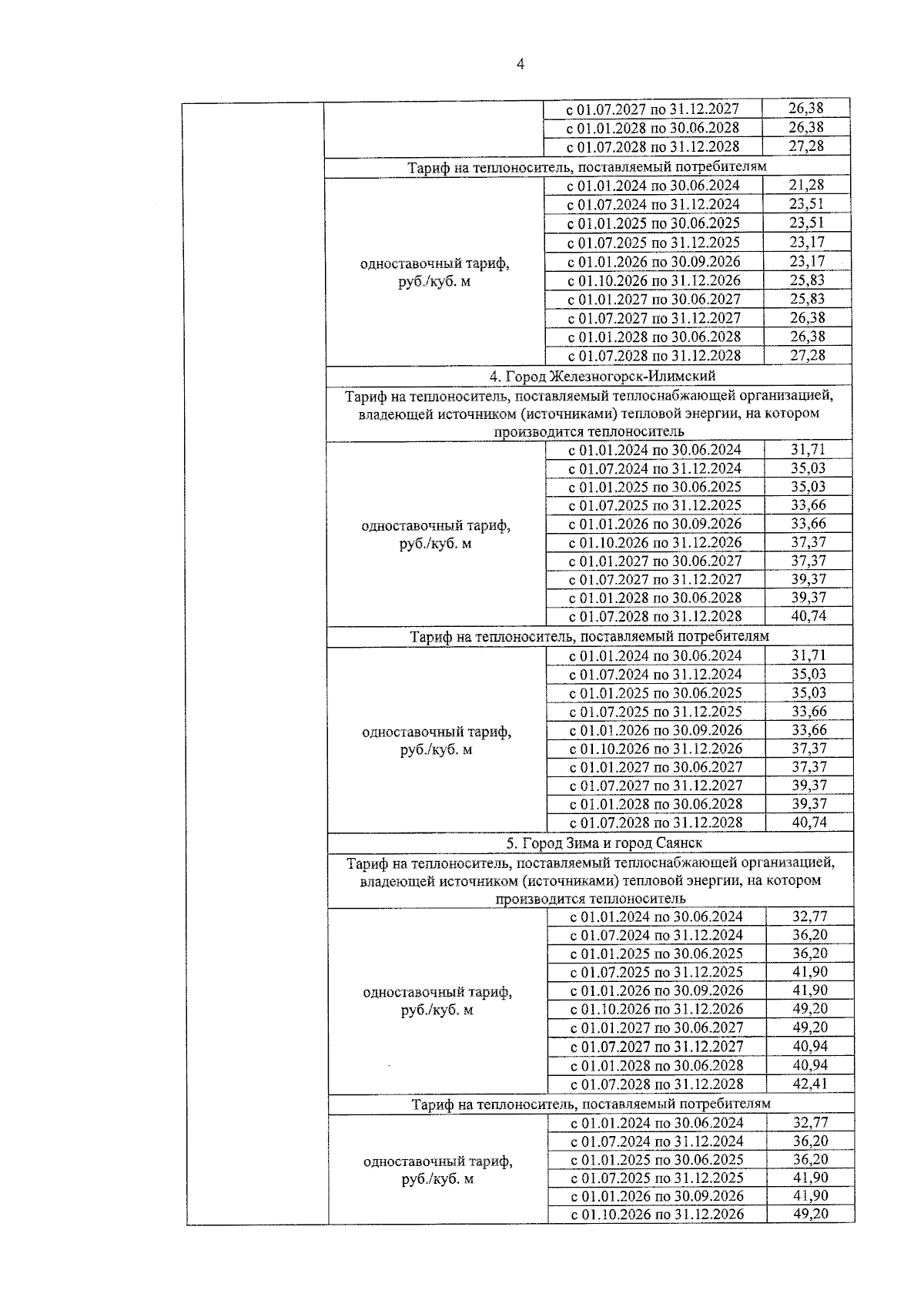
Приказ службы по тарифам Иркутской области от 19.12.2025 № 79-627-спр
"О внесении изменений в отдельные приказы службы по тарифам Иркутской области"
(Зарегистрирован 30.12.2025 № 04-2595/25)
Номер опубликования: 3801202512300060
Дата опубликования: 30.12.2025
Страница №4 из 8:
Увеличить