Официальное опубликование правовых актов
ОФИЦИАЛЬНОЕ ОПУБЛИКОВАНИЕ
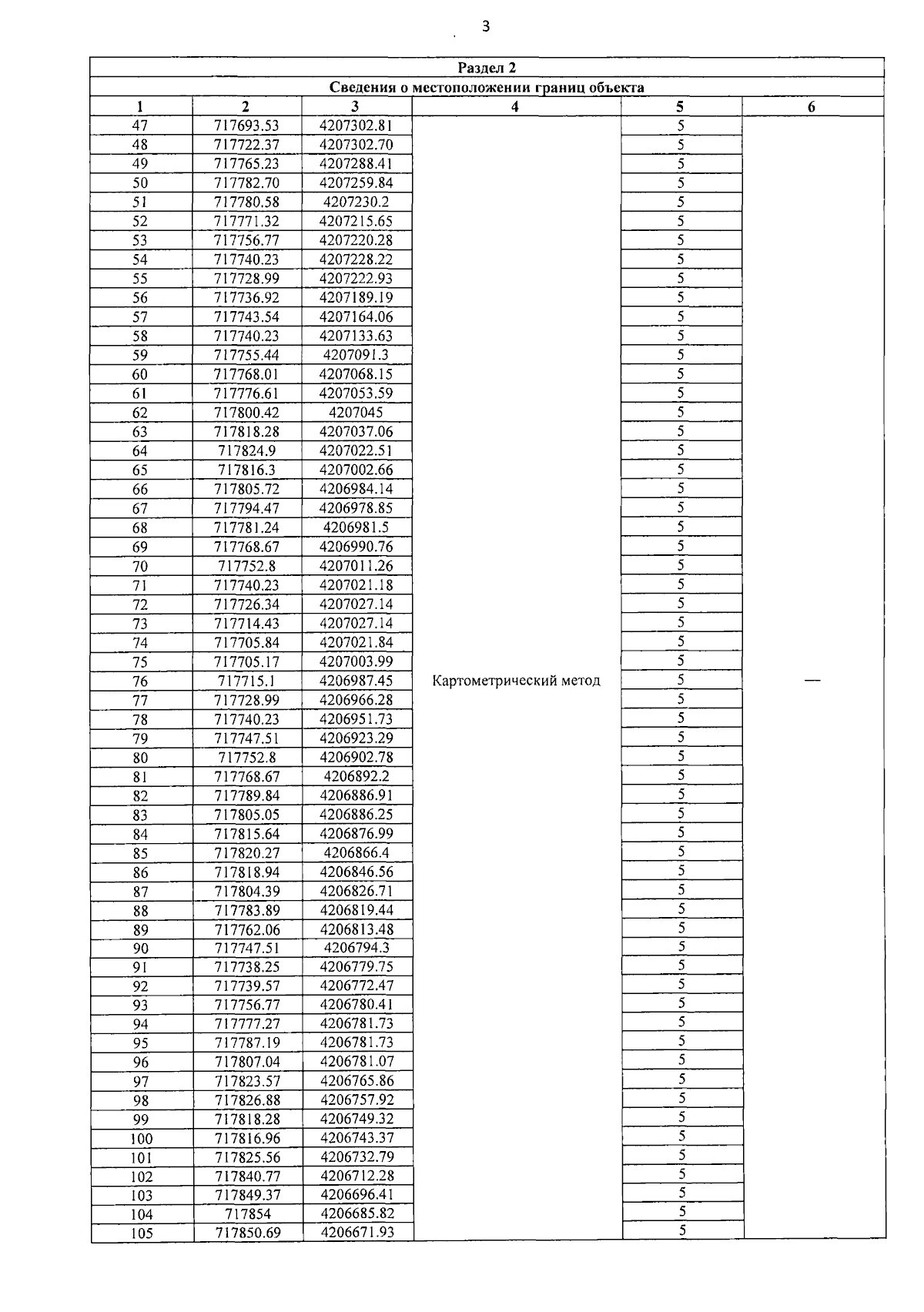
Указ Губернатора Иркутской области от 23.04.2026 № 143-уг
"Об охранной зоне памятника природы регионального значения "Ботовская пещера"
Номер опубликования: 3800202604240004
Дата опубликования: 24.04.2026
Страница №4 из 13:
Увеличить