Официальное опубликование правовых актов
ОФИЦИАЛЬНОЕ ОПУБЛИКОВАНИЕ
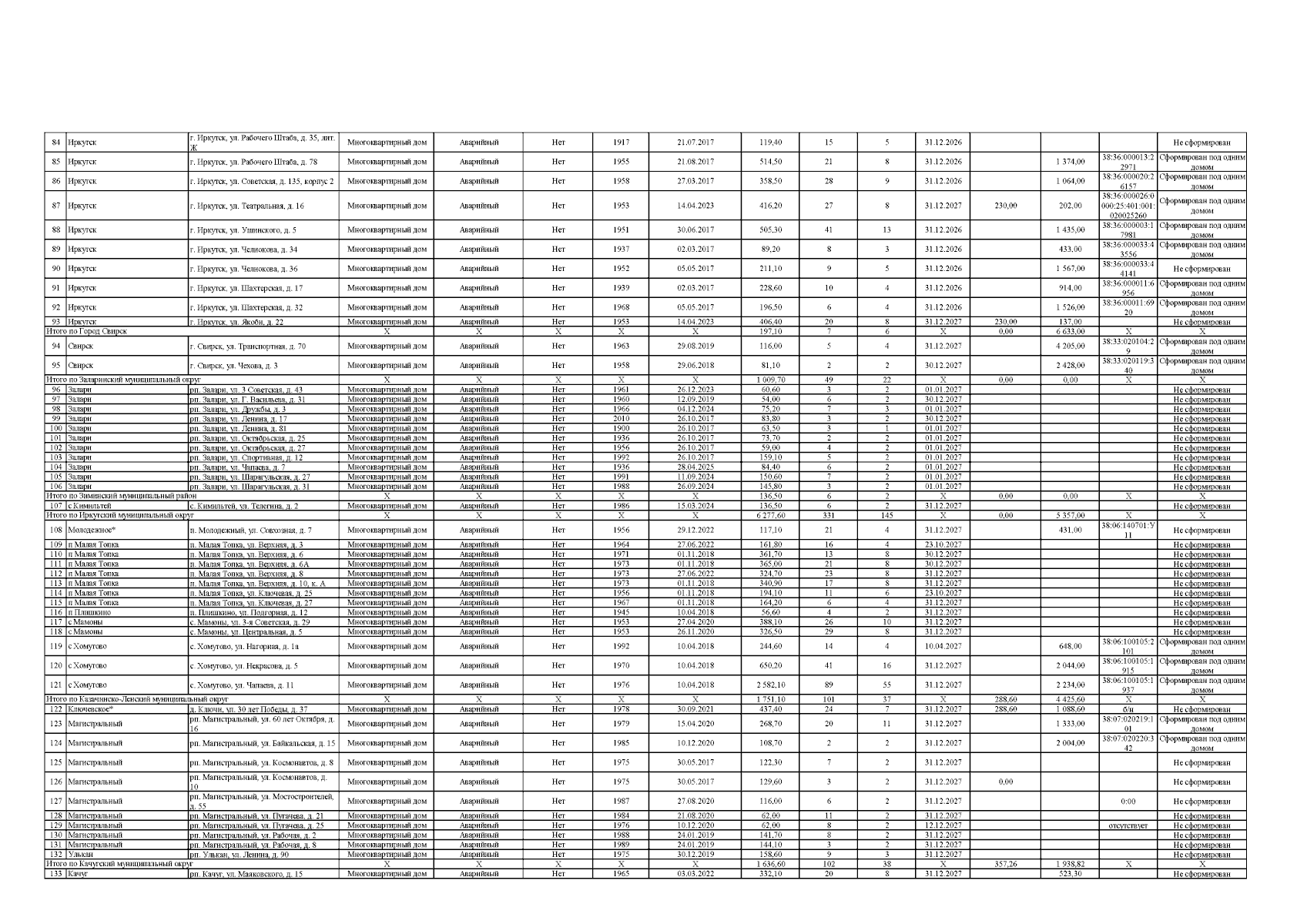
Постановление Правительства Иркутской области от 03.03.2026 № 193-пп
"О внесении изменения в региональную адресную программу Иркутской области "Переселение граждан, проживающих на территории Иркутской области, из аварийного жилищного фонда, признанного таковым после 1 января 2017 года, в 2025 - 2028 годах"
Номер опубликования: 3800202603050014
Дата опубликования: 05.03.2026
Страница №15 из 19:
Увеличить