Постановление Правительства Иркутской области от 27.02.2026 № 163-пп
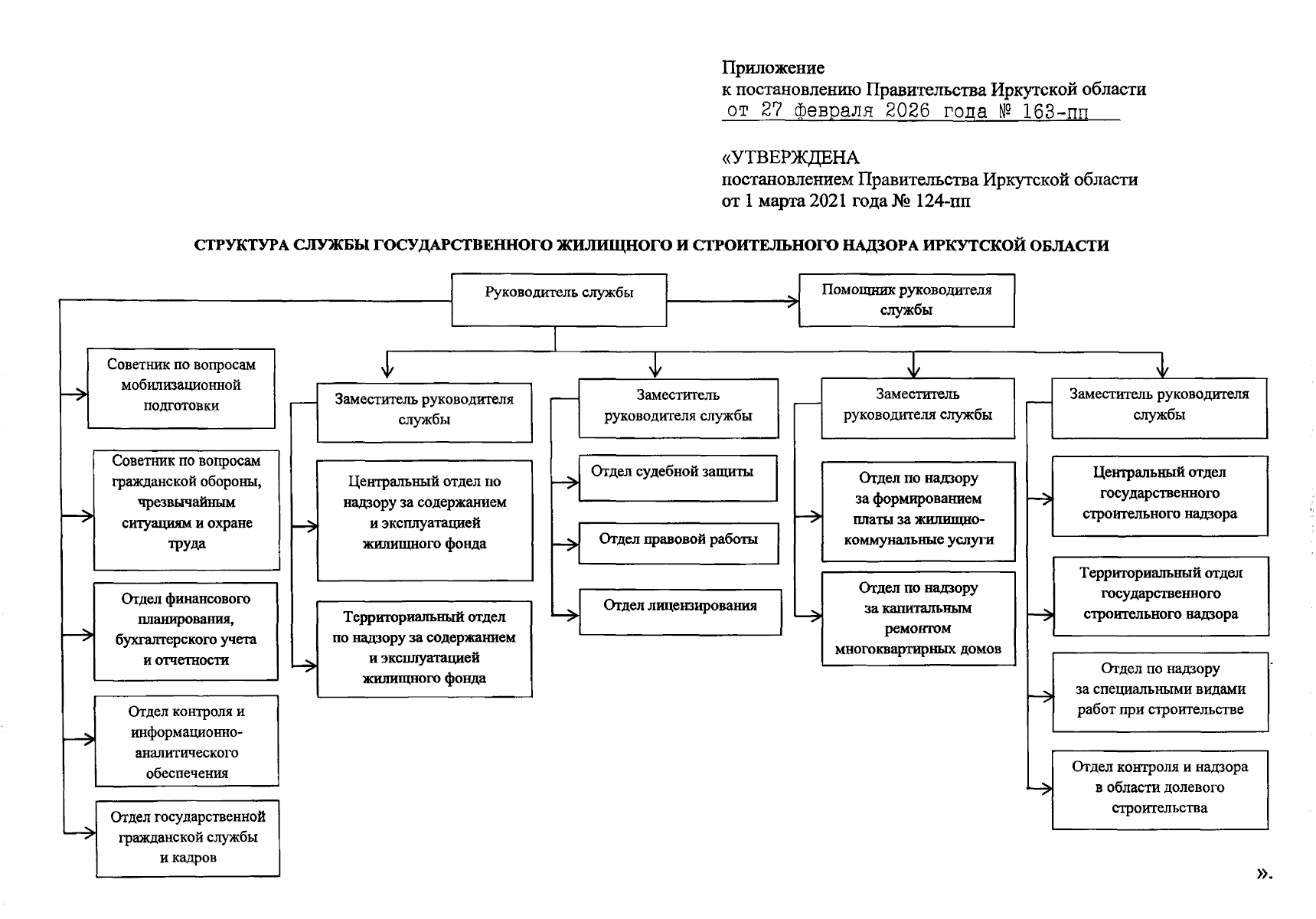
"О внесении изменения в структуру службы государственного жилищного и строительного надзора Иркутской области"
"О внесении изменения в структуру службы государственного жилищного и строительного надзора Иркутской области"
Номер опубликования: 3800202603020002
Дата опубликования:
02.03.2026
