Официальное опубликование правовых актов
ОФИЦИАЛЬНОЕ ОПУБЛИКОВАНИЕ
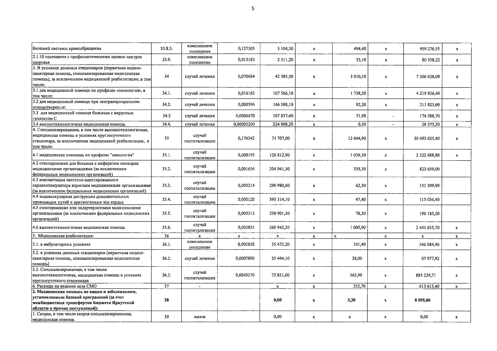
Постановление Правительства Иркутской области от 31.12.2025 № 1121-пп
"О внесении изменений в Территориальную программу государственных гарантий бесплатного оказания гражданам медицинской помощи в Иркутской области на 2025 год и на плановый период 2026 и 2027 годов"
Номер опубликования: 3800202601090001
Дата опубликования: 09.01.2026
Страница №14 из 19:
Увеличить