Официальное опубликование правовых актов
ОФИЦИАЛЬНОЕ ОПУБЛИКОВАНИЕ
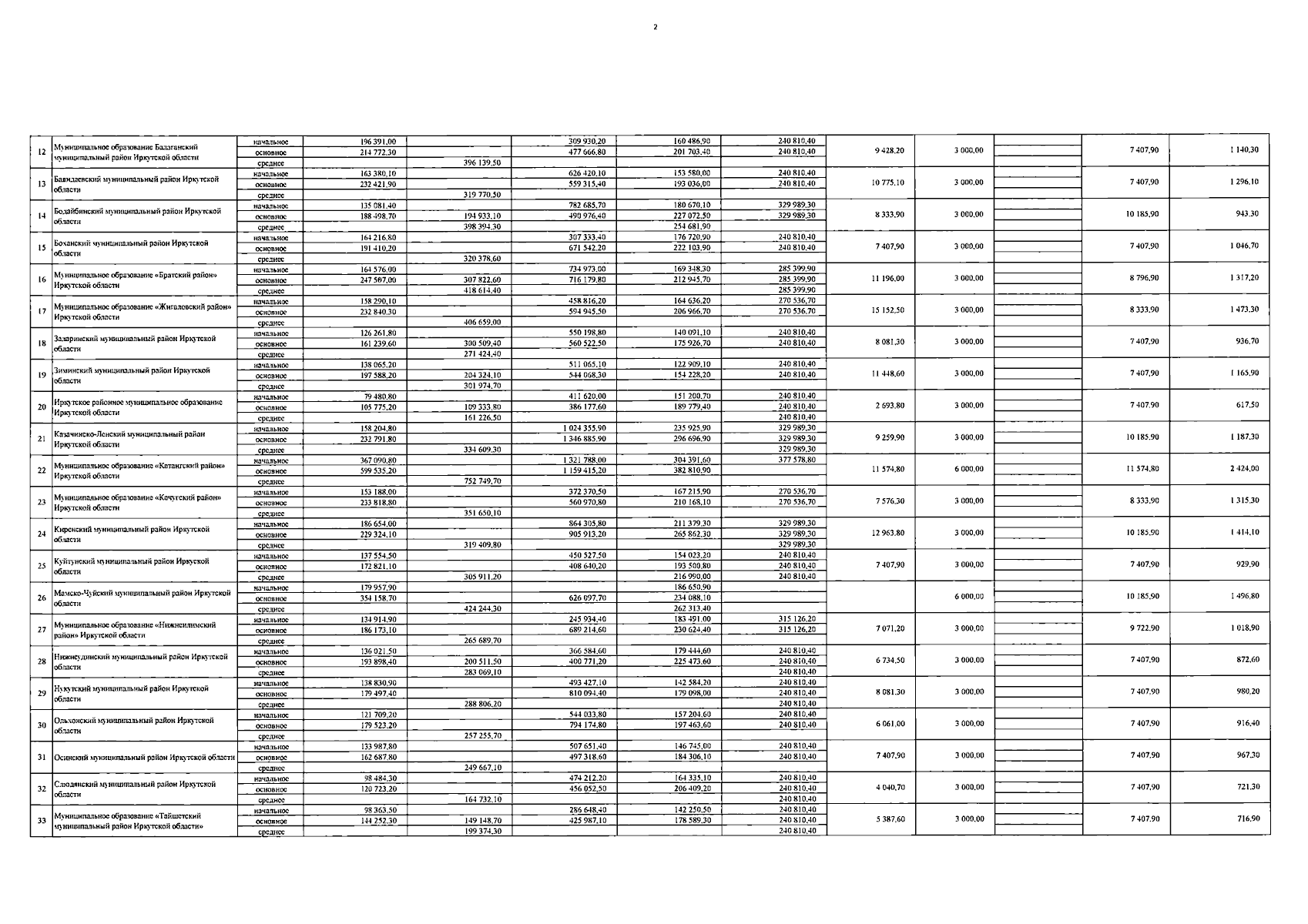
Постановление Правительства Иркутской области от 08.10.2025 № 785-пп
"О внесении изменений в постановление Правительства Иркутской области от 30 июля 2024 года № 578-пп"
Номер опубликования: 3800202510100008
Дата опубликования: 10.10.2025
Страница №25 из 26:
Увеличить