Официальное опубликование правовых актов
ОФИЦИАЛЬНОЕ ОПУБЛИКОВАНИЕ
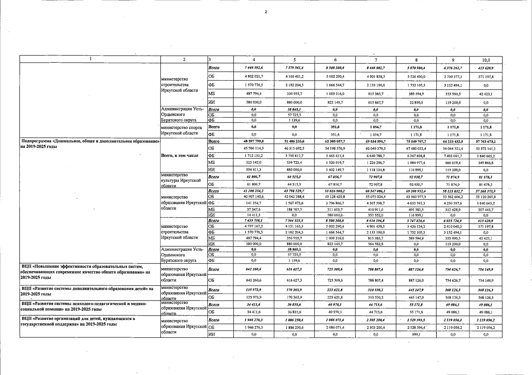
Постановление Правительства Иркутской области от 29.12.2023 № 1260-пп
"О внесении изменений в государственную программу Иркутской области "Развитие образования" на 2019 - 2025 годы и признании утратившими силу отдельных постановлений Правительства Иркутской области"
Номер опубликования: 3800202401040012
Дата опубликования: 04.01.2024
Страница №86 из 164:
Увеличить