Официальное опубликование правовых актов
ОФИЦИАЛЬНОЕ ОПУБЛИКОВАНИЕ
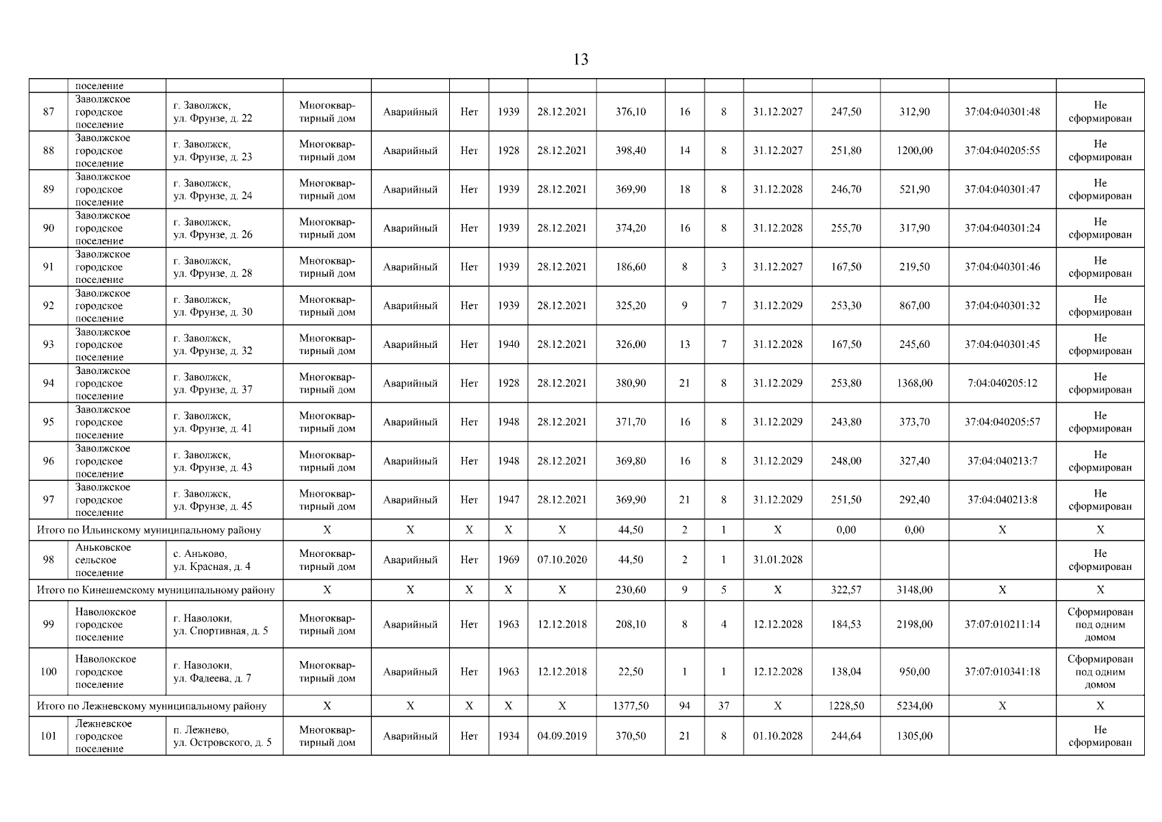
Постановление Правительства Ивановской области от 22.08.2025 № 335-п
"О внесении изменений в постановление Правительства Ивановской области от 03.06.2024 № 232-п "Об утверждении региональной адресной программы “Переселение граждан из аварийного жилищного фонда на территории Ивановской области на 2024 - 2030 годы”"
Номер опубликования: 3700202508250009
Дата опубликования: 25.08.2025
Страница №13 из 21:
Увеличить