Официальное опубликование правовых актов
ОФИЦИАЛЬНОЕ ОПУБЛИКОВАНИЕ
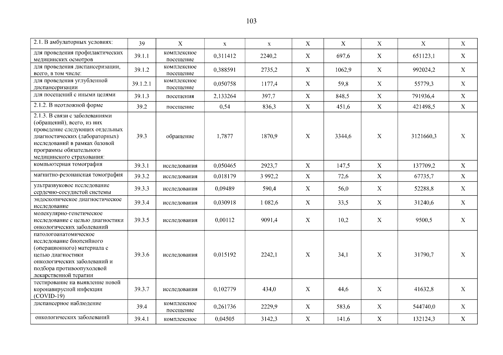
Постановление Правительства Ивановской области от 19.02.2024 № 50-п
"Об утверждении Территориальной программы государственных гарантий бесплатного оказания гражданам медицинской помощи на территории Ивановской области на 2024 год и на плановый период 2025 и 2026 годов"
Номер опубликования: 3700202402210002
Дата опубликования: 21.02.2024
Страница №103 из 131:
Увеличить