Официальное опубликование правовых актов
ОФИЦИАЛЬНОЕ ОПУБЛИКОВАНИЕ
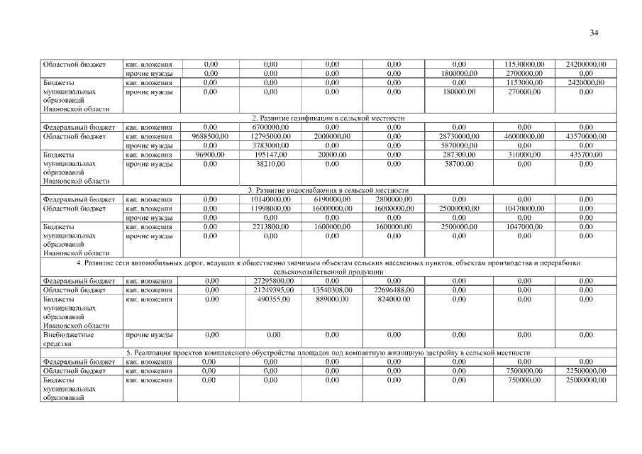
Постановление Правительства Ивановской области от 26.06.2015 № 312-п
"О внесении изменений в постановление Правительства Ивановской области от 13.11.2013 № 451-п "Об утверждении государственной программы Ивановской области "Развитие сельского хозяйства и регулирование рынков сельскохозяйственной продукции, сырья и продовольствия Ивановской области"
Номер опубликования: 3700201507020012
Дата опубликования: 02.07.2015
Страница №34 из 35:
Увеличить