Официальное опубликование правовых актов
ОФИЦИАЛЬНОЕ ОПУБЛИКОВАНИЕ
Приказ министерства архитектуры и градостроительства Воронежской области от 08.04.2026 № 45-01-04/150
"О внесении изменений в правила землепользования и застройки Архангельского сельского поселения Аннинского муниципального района Воронежской области"
(Зарегистрирован 22.04.2026 № 439)
Номер опубликования: 3601202604230007
Дата опубликования: 23.04.2026
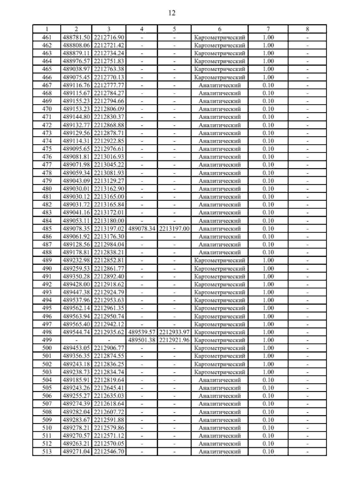
Страница №62 из 90:
Увеличить