Официальное опубликование правовых актов
ОФИЦИАЛЬНОЕ ОПУБЛИКОВАНИЕ
Приказ министерства архитектуры и градостроительства Воронежской области от 13.04.2026 № 45-01-04/152
"О внесении изменений в правила землепользования и застройки Отрадненского сельского поселения Новоусманского муниципального района Воронежской области"
(Зарегистрирован 22.04.2026 № 440)
Номер опубликования: 3601202604230005
Дата опубликования: 23.04.2026
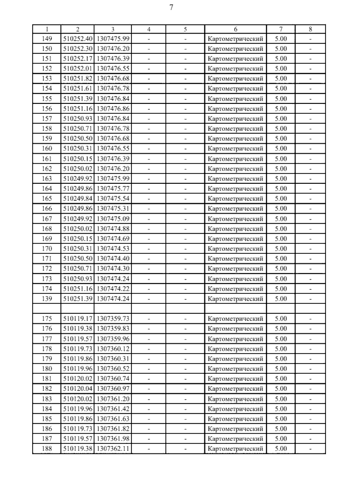
Страница №126 из 163:
Увеличить