Официальное опубликование правовых актов
ОФИЦИАЛЬНОЕ ОПУБЛИКОВАНИЕ
Приказ министерства архитектуры и градостроительства Воронежской области от 15.04.2026 № 45-01-04/171
"О внесении изменений в правила землепользования и застройки Горожанского сельского поселения Рамонского муниципального района Воронежской области"
(Зарегистрирован 22.04.2026 № 444)
Номер опубликования: 3601202604230004
Дата опубликования: 23.04.2026
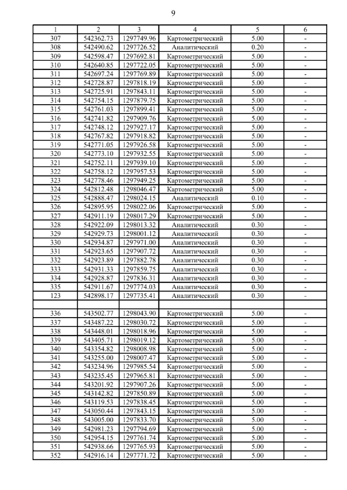
Страница №68 из 122:
Увеличить