Официальное опубликование правовых актов
ОФИЦИАЛЬНОЕ ОПУБЛИКОВАНИЕ
Приказ министерства архитектуры и градостроительства Воронежской области от 13.04.2026 № 45-01-04/156
"О внесении изменений в правила землепользования и застройки Курбатовского сельского поселения Нижнедевицкого муниципального района Воронежской области"
(Зарегистрирован 22.04.2026 № 442)
Номер опубликования: 3601202604230002
Дата опубликования: 23.04.2026
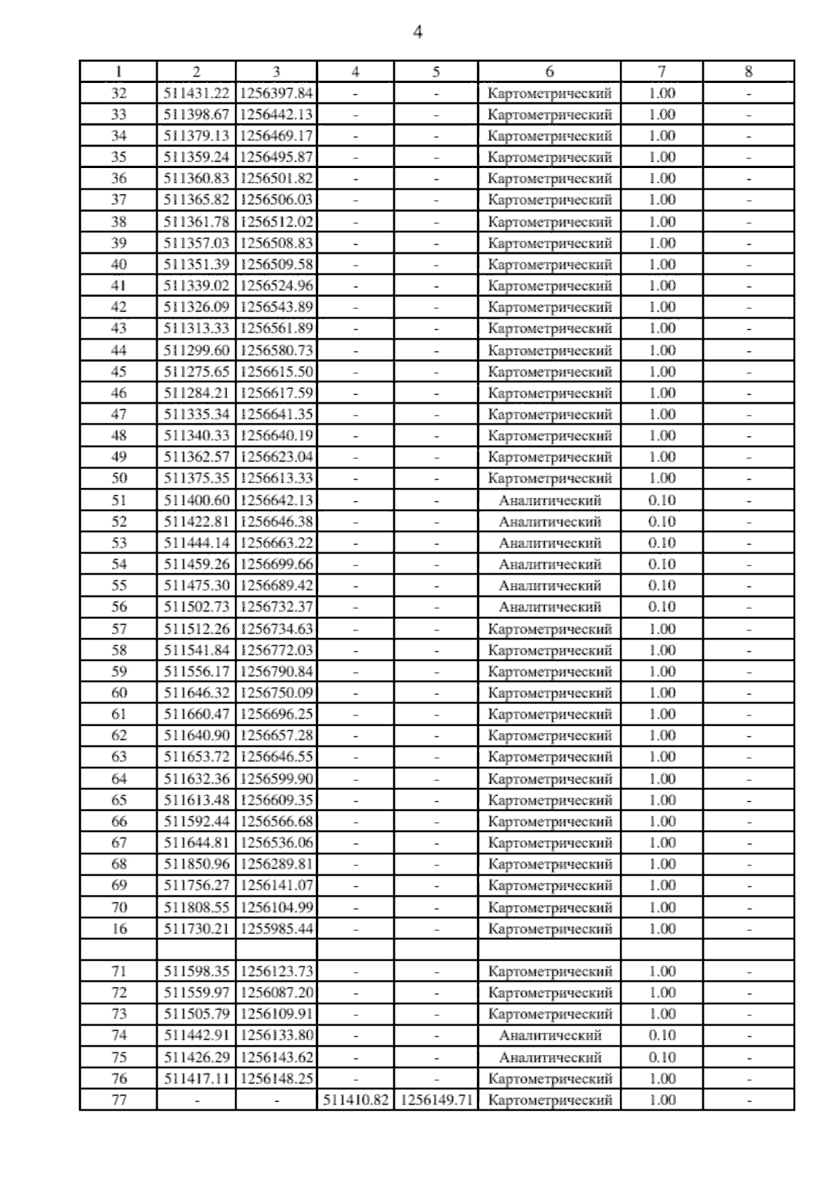
Страница №14 из 59:
Увеличить