Официальное опубликование правовых актов
ОФИЦИАЛЬНОЕ ОПУБЛИКОВАНИЕ
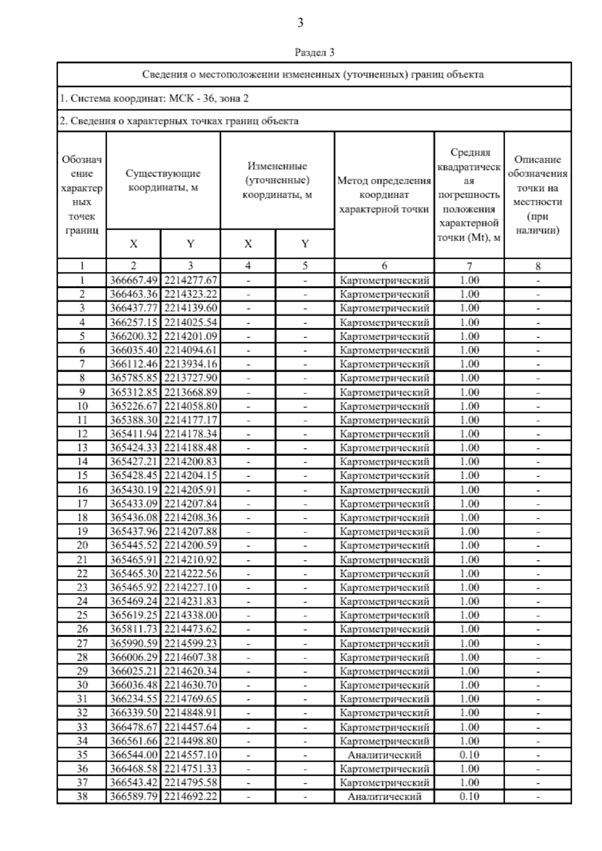
Приказ министерства архитектуры и градостроительства Воронежской области от 10.03.2026 № 45-01-04/105
"О внесении изменений в правила землепользования и застройки Ширяевского сельского поселения Калачеевского муниципального района Воронежской области"
(Зарегистрирован 27.03.2026 № 302)
Номер опубликования: 3601202604030003
Дата опубликования: 03.04.2026
Страница №50 из 66:
Увеличить