Официальное опубликование правовых актов
ОФИЦИАЛЬНОЕ ОПУБЛИКОВАНИЕ
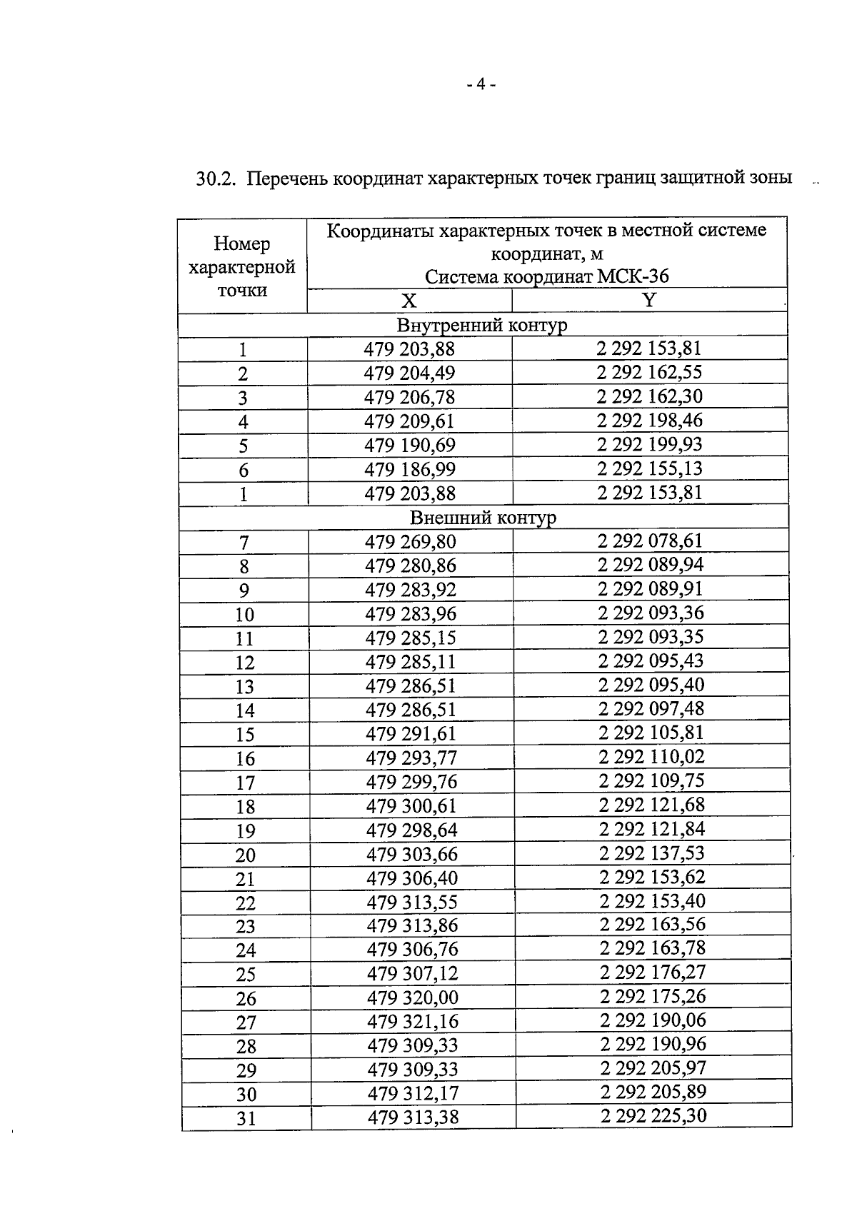
Приказ управления по охране объектов культурного наследия Воронежской области от 29.01.2026 № 71-01-05/7
"О внесении изменения в приказ управления по охране объектов культурного наследия Воронежской области от 04.12.2018 № 71-01-07/266"
(Зарегистрирован 26.02.2026 № 128)
Номер опубликования: 3601202603030006
Дата опубликования: 03.03.2026
Страница №4 из 6:
Увеличить