Официальное опубликование правовых актов
ОФИЦИАЛЬНОЕ ОПУБЛИКОВАНИЕ
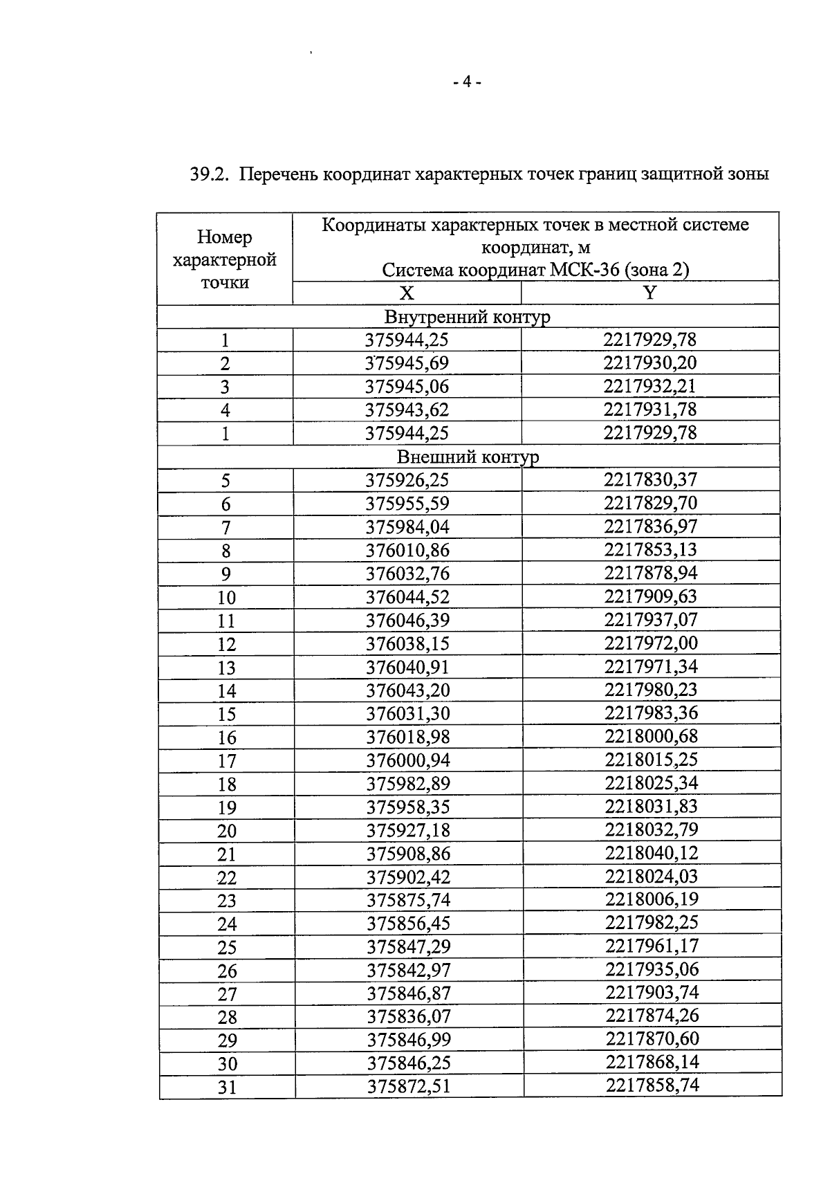
Приказ управления по охране объектов культурного наследия Воронежской области от 29.01.2026 № 71-01-05/6
"О внесении изменений в приказ управления по охране объектов культурного наследия Воронежской области от 28.11.2019 № 71-01-07/327"
(Зарегистрирован 26.02.2026 № 127)
Номер опубликования: 3601202603030002
Дата опубликования: 03.03.2026
Страница №4 из 5:
Увеличить