Официальное опубликование правовых актов
ОФИЦИАЛЬНОЕ ОПУБЛИКОВАНИЕ
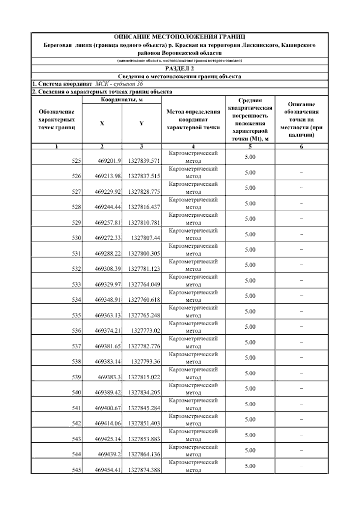
Приказ министерства природных ресурсов и экологии Воронежской области от 09.03.2022 № 77
"Об утверждении описания местоположения береговых линий (границ водного объекта), границ водоохранных зон и границ прибрежных защитных полос реки Красная на территории Воронежской области"
(Зарегистрирован 26.02.2026 № 137)
Номер опубликования: 3601202603020008
Дата опубликования: 02.03.2026
Страница №35 из 639:
Увеличить