Официальное опубликование правовых актов
ОФИЦИАЛЬНОЕ ОПУБЛИКОВАНИЕ
Приказ министерства архитектуры и градостроительства Воронежской области от 18.09.2025 № 45-01-04/505
"О внесении изменений в правила землепользования и застройки Евстратовского сельского поселения Россошанского муниципального района Воронежской области"
(Зарегистрирован 08.10.2025 № 1145)
Номер опубликования: 3601202510100004
Дата опубликования: 10.10.2025
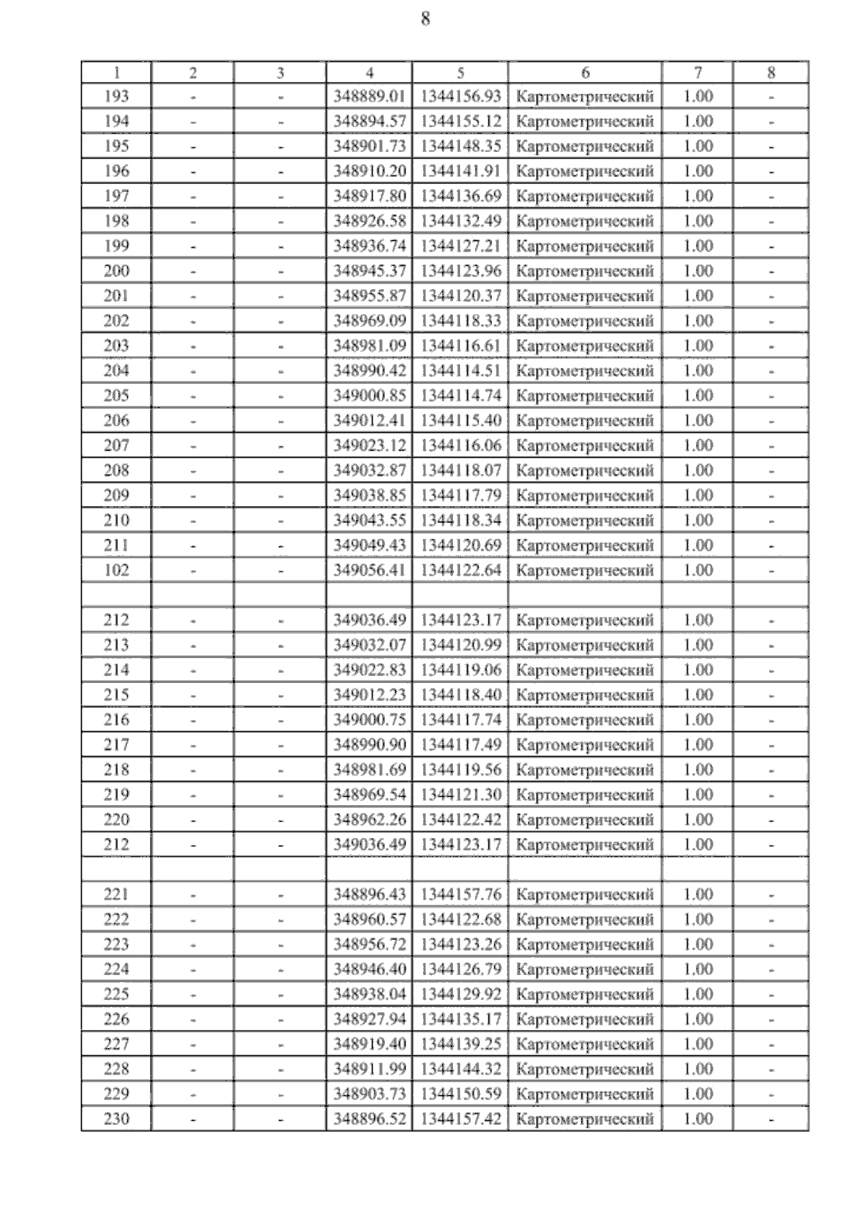
Страница №73 из 82:
Увеличить