Официальное опубликование правовых актов
ОФИЦИАЛЬНОЕ ОПУБЛИКОВАНИЕ
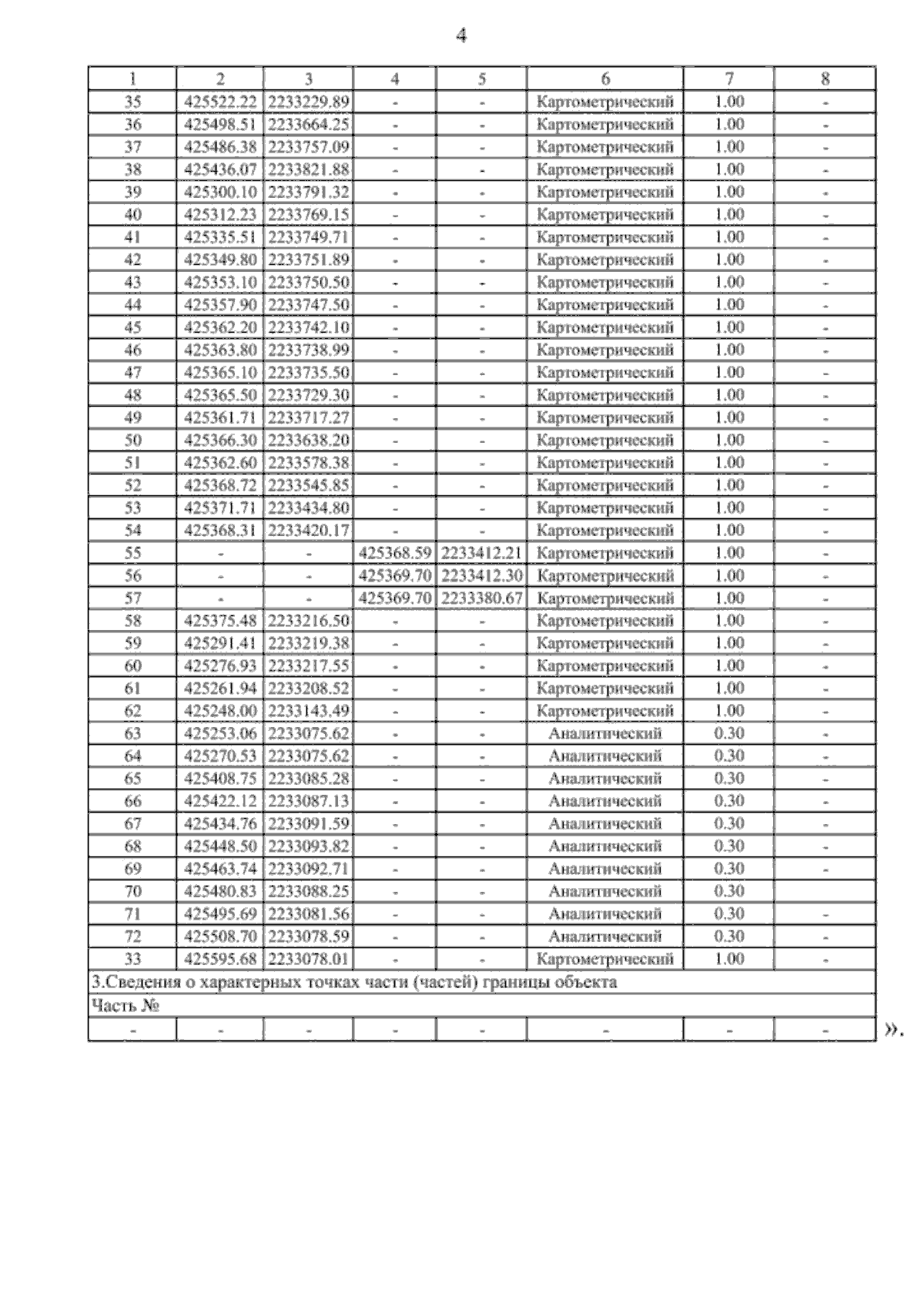
Приказ министерства архитектуры и градостроительства Воронежской области от 20.02.2025 № 45-01-04/66
"О внесении изменений в правила землепользования и застройки Михайловского сельского поселения Новохопёрского муниципального района Воронежской области"
(Зарегистрирован 10.03.2025 № 189)
Номер опубликования: 3601202503120005
Дата опубликования: 12.03.2025
Страница №27 из 31:
Увеличить