Официальное опубликование правовых актов
ОФИЦИАЛЬНОЕ ОПУБЛИКОВАНИЕ
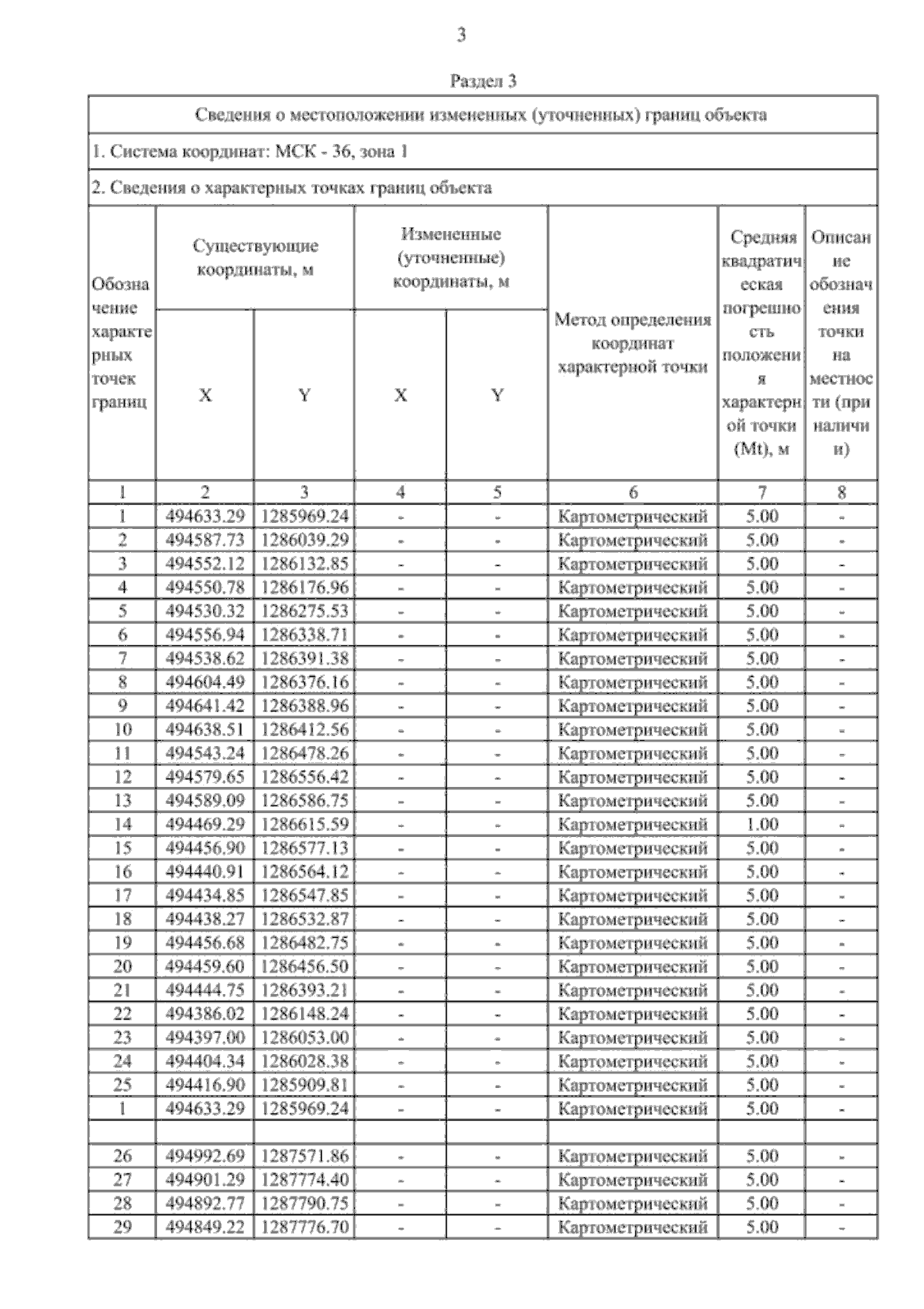
Приказ министерства архитектуры и градостроительства Воронежской области от 11.02.2025 № 45-01-04/40
"О внесении изменений в правила землепользования и застройки Гремяченского сельского поселения Хохольского муниципального района Воронежской области"
(Зарегистрирован 27.02.2025 № 142)
Номер опубликования: 3601202503030004
Дата опубликования: 03.03.2025
Страница №30 из 36:
Увеличить