Официальное опубликование правовых актов
ОФИЦИАЛЬНОЕ ОПУБЛИКОВАНИЕ
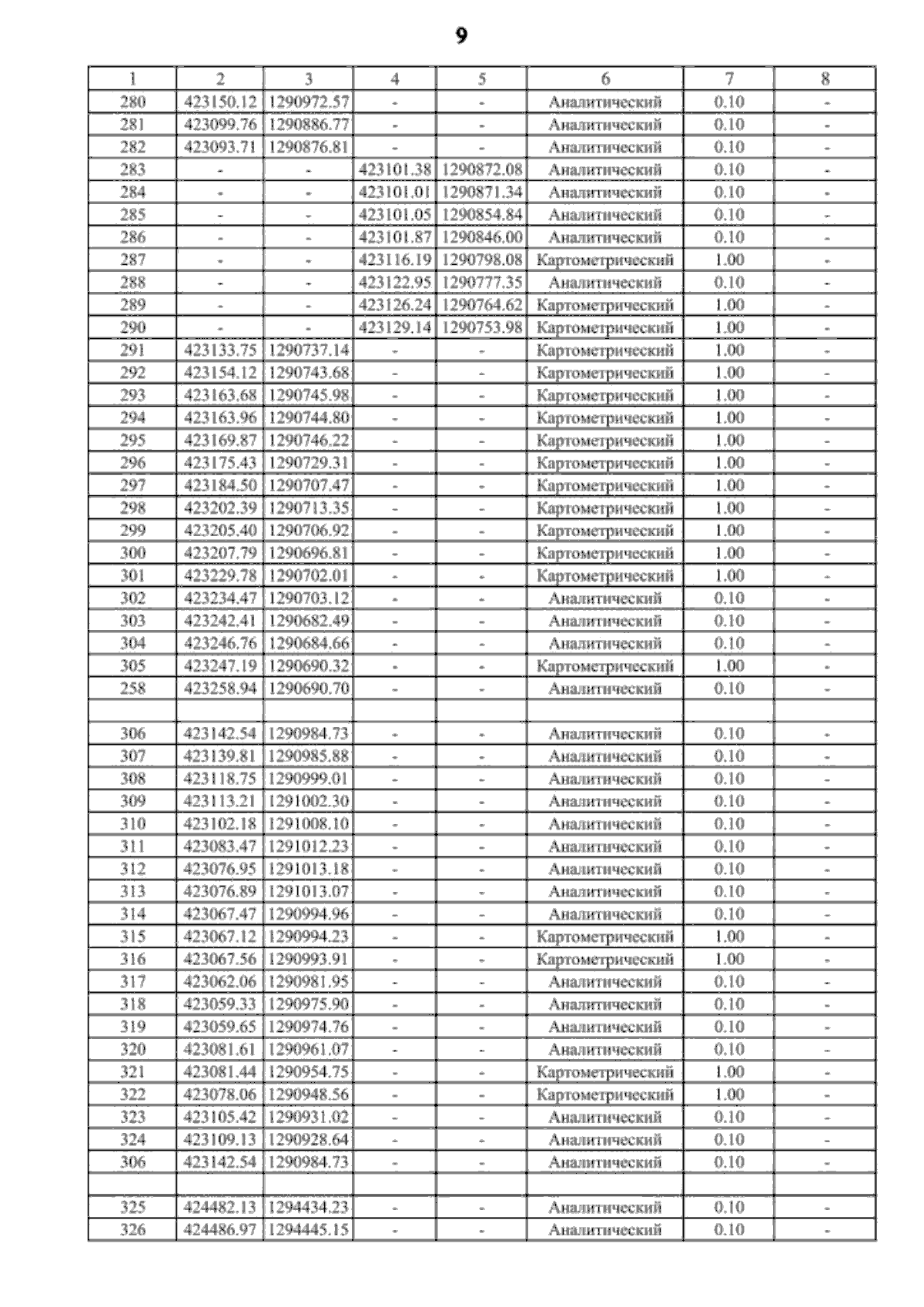
Приказ министерства архитектуры и градостроительства Воронежской области от 04.12.2024 № 45-01-04/573
"О внесении изменений в правила землепользования и застройки городского поселения – город Острогожск Острогожского муниципального района Воронежской области"
(Зарегистрирован 19.12.2024 № 1757)
Номер опубликования: 3601202412230005
Дата опубликования: 23.12.2024
Страница №191 из 384:
Увеличить