Официальное опубликование правовых актов
ОФИЦИАЛЬНОЕ ОПУБЛИКОВАНИЕ
Приказ министерства архитектуры и градостроительства Воронежской области от 07.12.2023 № 45-01-04/1240
"О внесении изменений в правила землепользования и застройки городского округа город Нововоронеж Воронежской области"
(Зарегистрирован 13.12.2023 № 1900)
Номер опубликования: 3601202312150010
Дата опубликования: 15.12.2023
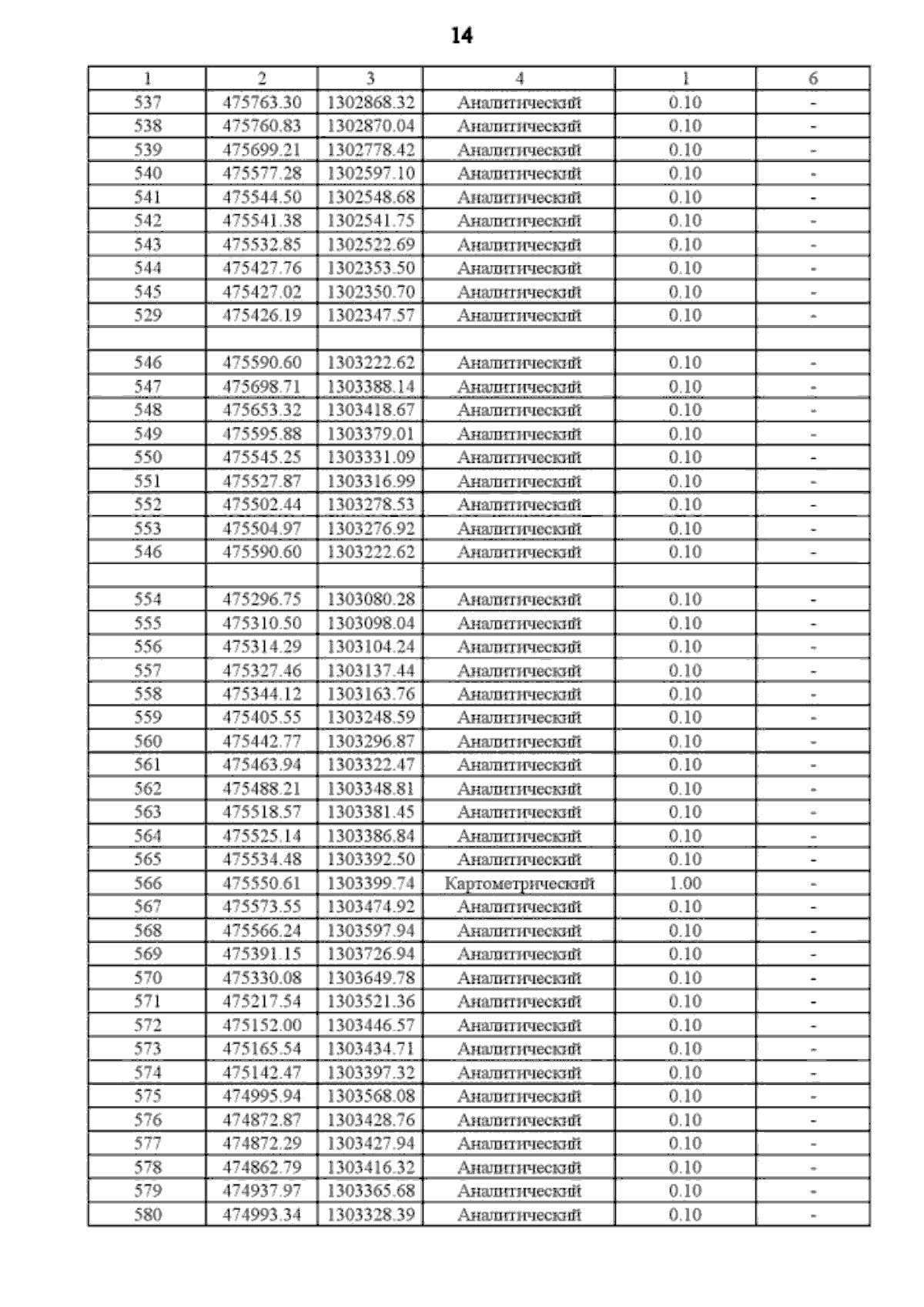
Страница №147 из 360:
Увеличить