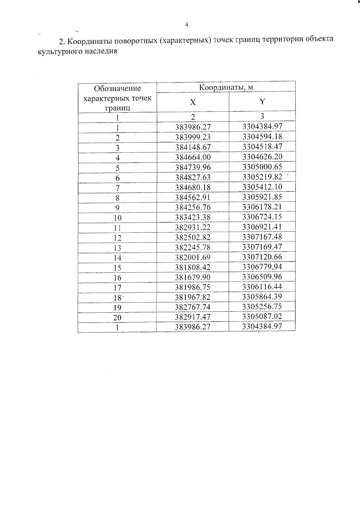
Приказ Главного управления охраны объектов культурного наследия Вологодской области от 15.01.2026 № 1-О/01-13
"О внесении изменений в приказ Комитета по охране объектов культурного наследия Вологодской области от 19.07.2024 г. № 3-О/01-13"
(Зарегистрирован 15.01.2026 № 1-О/01-13 )
"О внесении изменений в приказ Комитета по охране объектов культурного наследия Вологодской области от 19.07.2024 г. № 3-О/01-13"
(Зарегистрирован 15.01.2026 № 1-О/01-13 )
Номер опубликования: 3501202601150009
Дата опубликования:
15.01.2026
