Официальное опубликование правовых актов
ОФИЦИАЛЬНОЕ ОПУБЛИКОВАНИЕ
Приказ Министерства лесного комплекса Вологодской области от 14.10.2025 № 1247
"О внесении изменений в лесохозяйственный регламент Тарногского лесничества Вологодской области"
(Зарегистрирован 14.10.2025 № 1247)
Номер опубликования: 3501202510160001
Дата опубликования: 16.10.2025
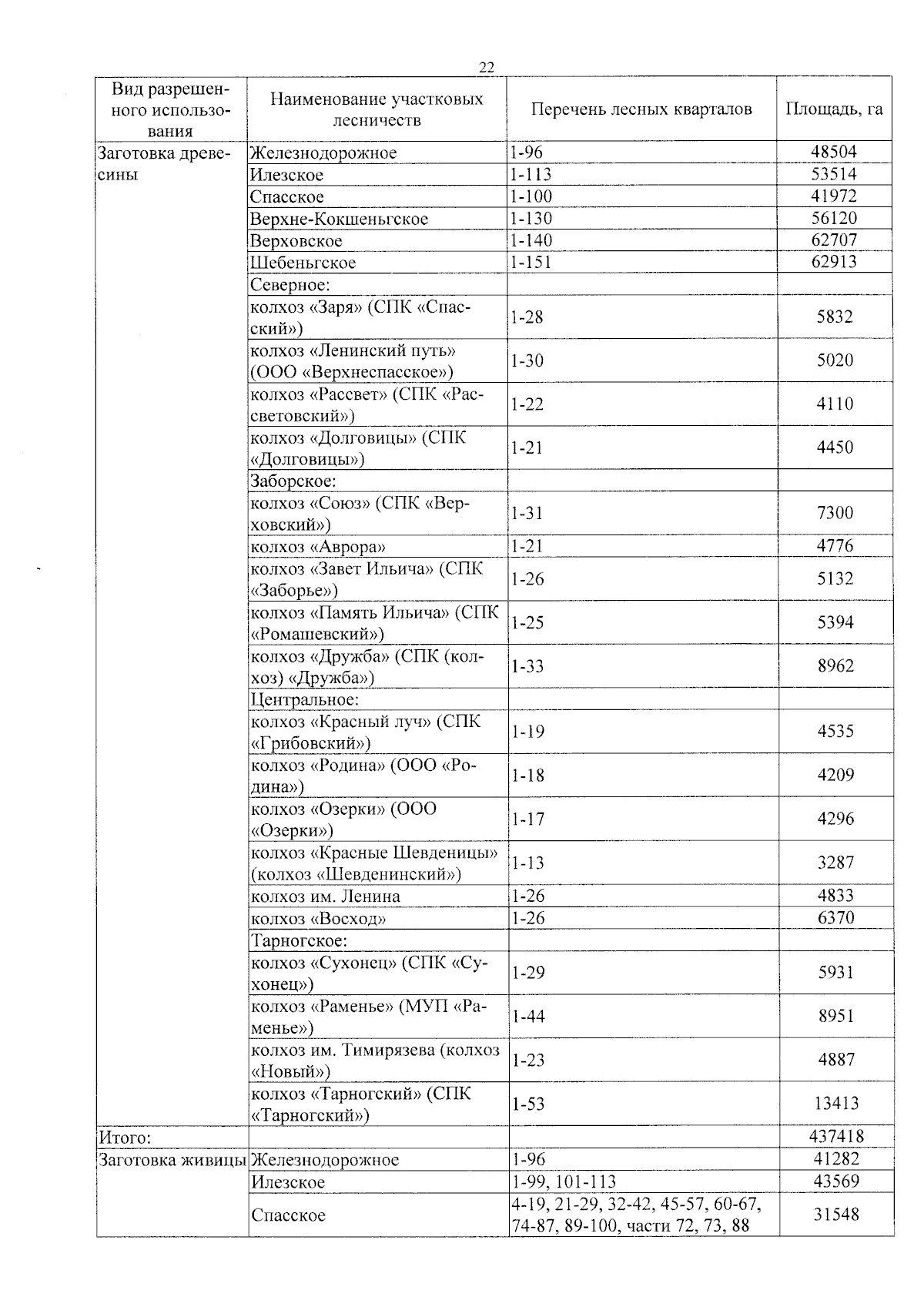
Страница №22 из 47:
Увеличить