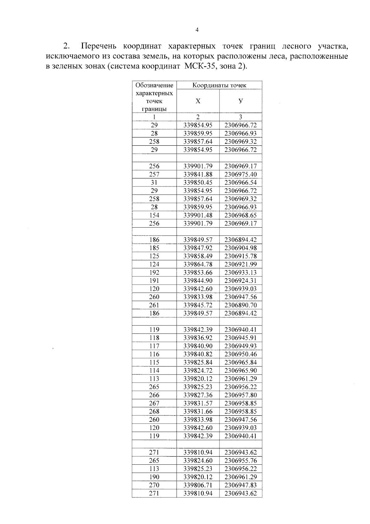
Приказ Министерства лесного комплекса Вологодской области от 09.10.2025 № 1235
"Об изменении границ земель, на которых расположены леса, расположенные в зеленых зонах, на территории Вологодского лесничества Вологодской области"
(Зарегистрирован 09.10.2025 № 1235)
"Об изменении границ земель, на которых расположены леса, расположенные в зеленых зонах, на территории Вологодского лесничества Вологодской области"
(Зарегистрирован 09.10.2025 № 1235)
Номер опубликования: 3501202510100001
Дата опубликования:
10.10.2025
