Официальное опубликование правовых актов
ОФИЦИАЛЬНОЕ ОПУБЛИКОВАНИЕ
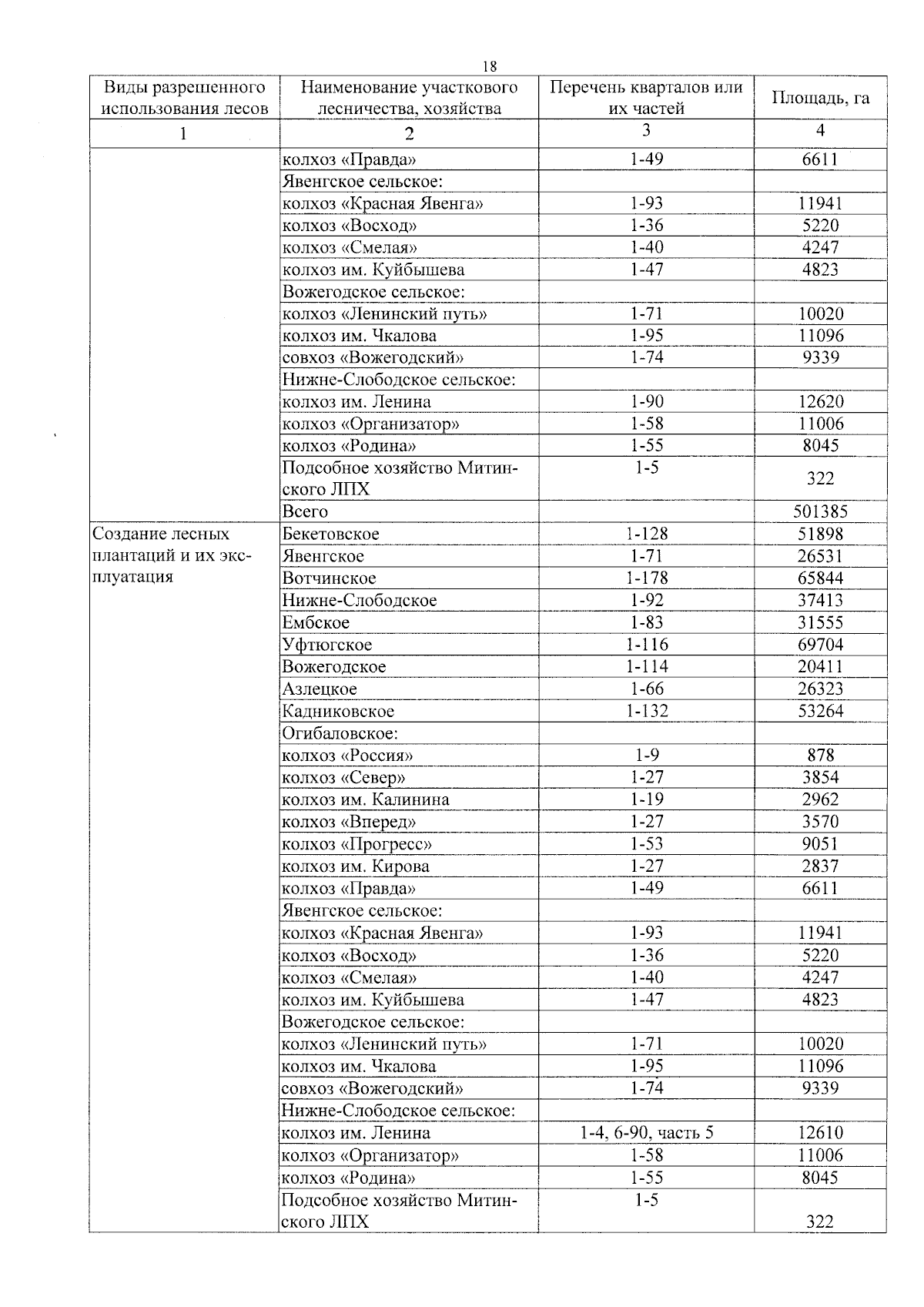
Приказ Министерства лесного комплекса Вологодской области от 08.10.2025 № 1214
"О внесении изменений в лесохозяйственный регламент Вожегодского лесничества Вологодской области"
(Зарегистрирован 08.10.2025 № 1214)
Номер опубликования: 3501202510080014
Дата опубликования: 08.10.2025
Страница №18 из 34:
Увеличить