Официальное опубликование правовых актов
ОФИЦИАЛЬНОЕ ОПУБЛИКОВАНИЕ
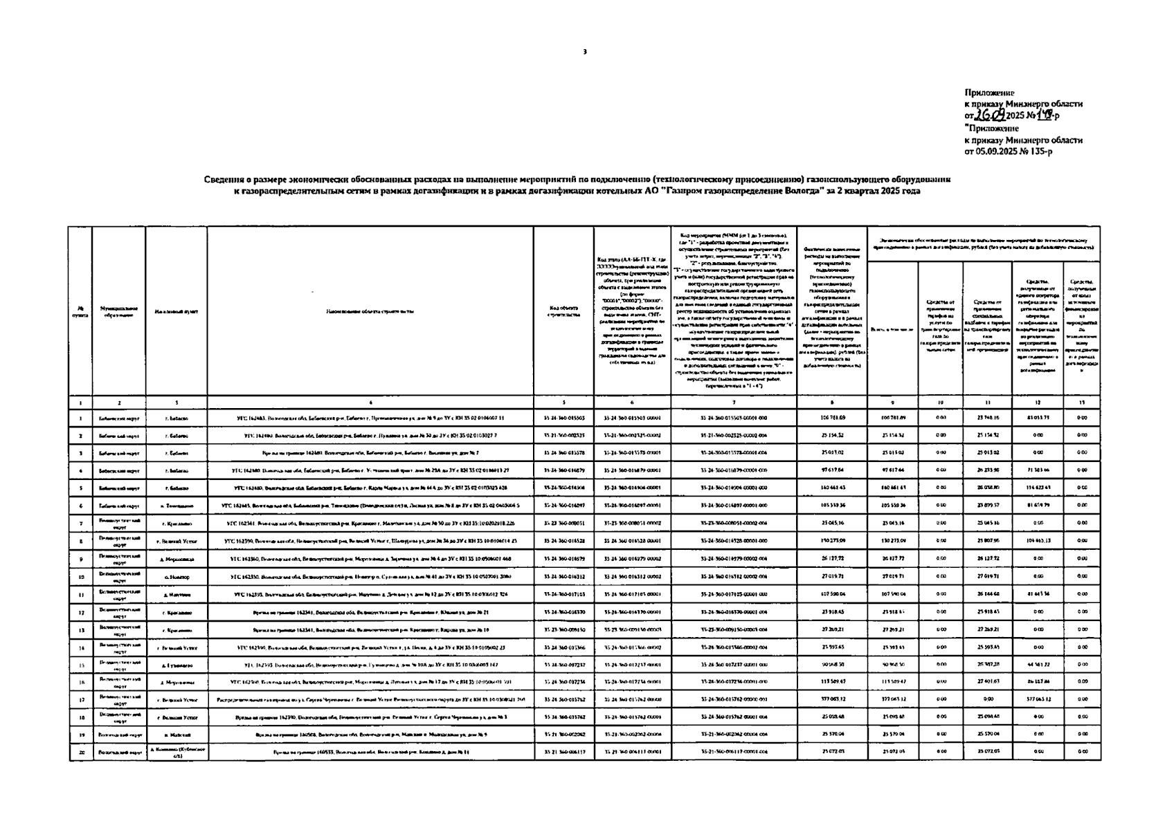
Приказ Министерства энергетики, коммунальной инфраструктуры и тарифного регулирования Вологодской области от 26.09.2025 № 149-р
"О внесении изменений в приказ Министерства энергетики, коммунальной инфраструктуры и тарифного регулирования Вологодской области от 5 сентября 2025 года № 135-р"
(Зарегистрирован 26.09.2025 № 149-р)
Номер опубликования: 3501202509260004
Дата опубликования: 26.09.2025
Страница №3 из 32:
Увеличить