Официальное опубликование правовых актов
ОФИЦИАЛЬНОЕ ОПУБЛИКОВАНИЕ
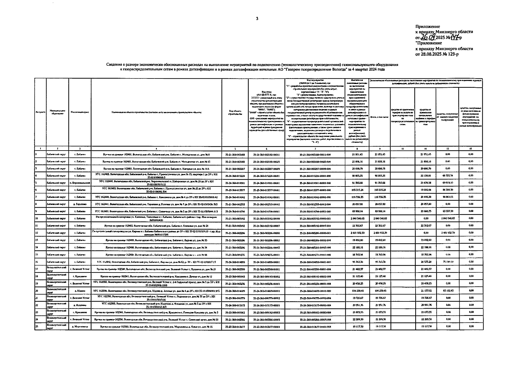
Приказ Министерства энергетики, коммунальной инфраструктуры и тарифного регулирования Вологодской области от 26.09.2025 № 147-р
"О внесении изменений в приказ Министерства энергетики, коммунальной инфраструктуры и тарифного регулирования Вологодской области от 28 августа 2025 года № 129-р"
(Зарегистрирован 26.09.2025 № 147-р)
Номер опубликования: 3501202509260001
Дата опубликования: 26.09.2025
Страница №3 из 47:
Увеличить