Официальное опубликование правовых актов
ОФИЦИАЛЬНОЕ ОПУБЛИКОВАНИЕ
Приказ Министерства энергетики, коммунальной инфраструктуры и тарифного регулирования Вологодской области от 22.08.2025 № 129-р
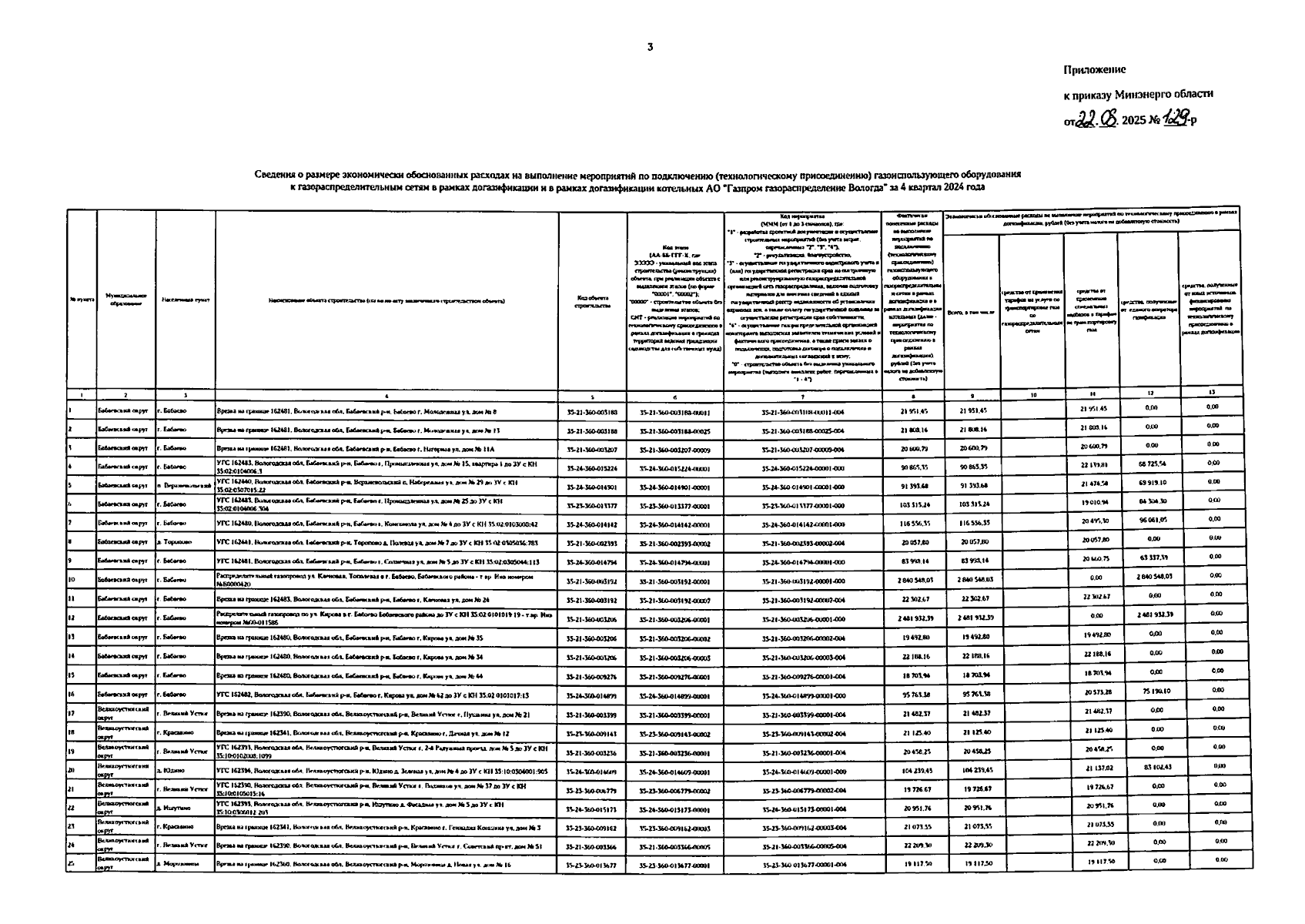
"Об утверждении размера экономически обоснованных расходов АО "Газпром газораспределение Вологда" на выполнение мероприятий по технологическому присоединению газоиспользующего оборудования к газораспределительным сетям в рамках догазификации и в рамках догазификации котельных за 4 квартал 2024 года"
(Зарегистрирован 22.08.2025 № 129-р)
Номер опубликования: 3501202508250002
Дата опубликования: 25.08.2025
Страница №3 из 47:
Увеличить