Официальное опубликование правовых актов
ОФИЦИАЛЬНОЕ ОПУБЛИКОВАНИЕ
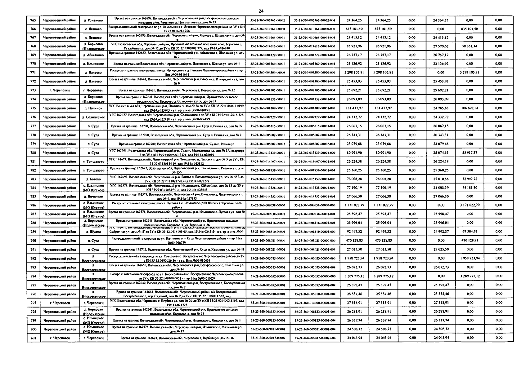
Приказ Министерства энергетики, коммунальной инфраструктуры и тарифного регулирования Вологодской области от 23.07.2025 № 109-р
"Об утверждении размера экономически обоснованных расходов АО "Газпром газораспределение Вологда" на выполнение мероприятий по технологическому присоединению в рамках догазификации в 1 квартале 2025 года"
(Зарегистрирован 23.07.2025 № 109-р)
Номер опубликования: 3501202507230008
Дата опубликования: 23.07.2025
Страница №24 из 28:
Увеличить