Официальное опубликование правовых актов
ОФИЦИАЛЬНОЕ ОПУБЛИКОВАНИЕ
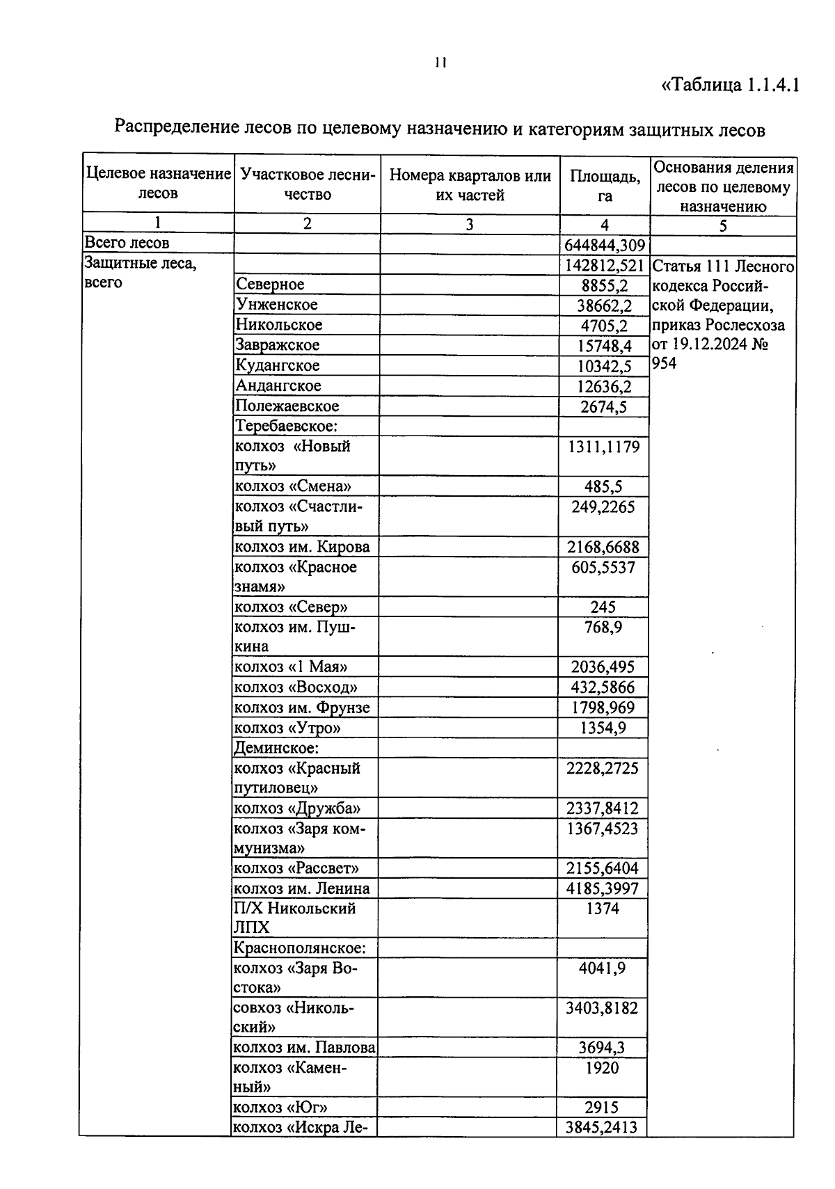
Приказ Министерства природных ресурсов и экологии Вологодской области от 10.07.2025 № 847
"О внесении изменений в лесохозяйственный регламент Никольского лесничества Вологодской области"
(Зарегистрирован 10.07.2025 № 847)
Номер опубликования: 3501202507110005
Дата опубликования: 11.07.2025
Страница №11 из 67:
Увеличить