Официальное опубликование правовых актов
ОФИЦИАЛЬНОЕ ОПУБЛИКОВАНИЕ
Приказ Департамента топливно-энергетического комплекса и тарифного регулирования Вологодской области от 18.12.2018 № 742-р
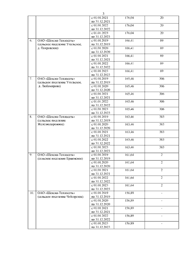
"Об утверждении нормативов удельного расхода топлива и нормативов технологических потерь при передаче тепловой энергии для ОАО "Шексна-Теплосеть"
Номер опубликования: 3501201812250010
Дата опубликования: 25.12.2018
Страница №3 из 3:
Увеличить