Официальное опубликование правовых актов
ОФИЦИАЛЬНОЕ ОПУБЛИКОВАНИЕ
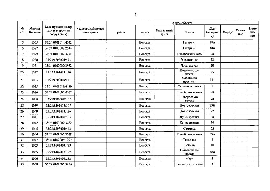
Приказ Департамента имущественных отношений Вологодской области от 12.12.2018 № 71-н
"О внесении изменений в приказ Департамента имущественных отношений области от 24.11.2016 № 83-н"
Номер опубликования: 3501201812140001
Дата опубликования: 14.12.2018
Страница №4 из 13:
Увеличить