Официальное опубликование правовых актов
ОФИЦИАЛЬНОЕ ОПУБЛИКОВАНИЕ
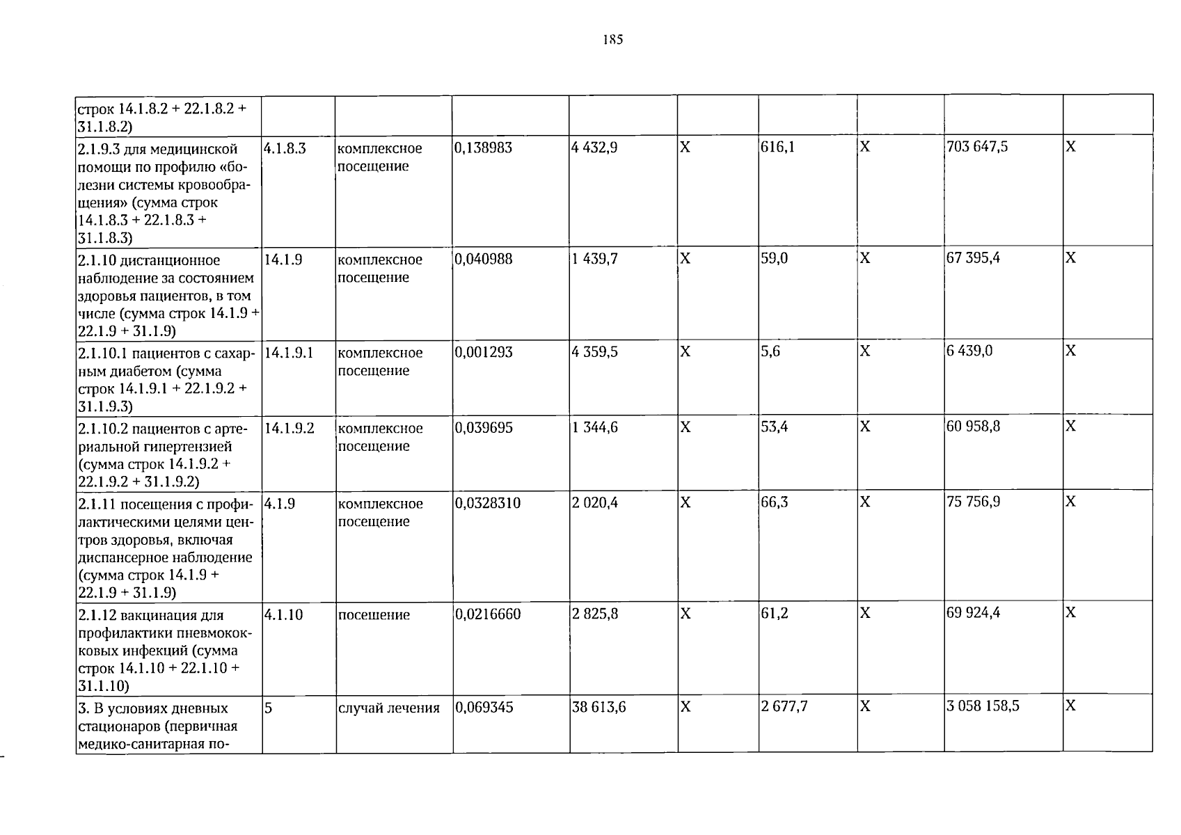
Постановление Правительства Вологодской области от 20.01.2026 № 26
"Об утверждении Программы государственных гарантий бесплатного оказания гражданам медицинской помощи на территории Вологодской области на 2026 год и на плановый период 2027 и 2028 годов"
Номер опубликования: 3500202601200002
Дата опубликования: 20.01.2026
Страница №185 из 338:
Увеличить