Официальное опубликование правовых актов
ОФИЦИАЛЬНОЕ ОПУБЛИКОВАНИЕ
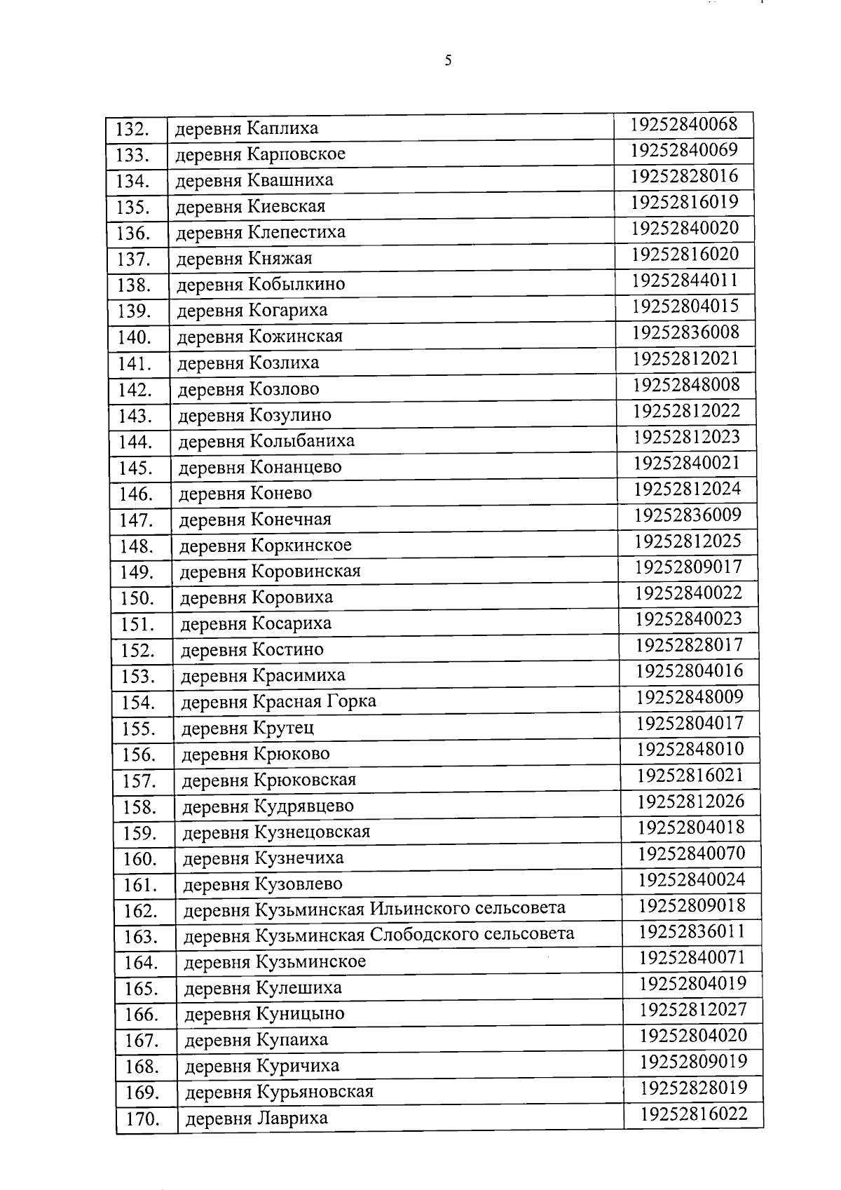
Закон Вологодской области от 10.12.2025 № 6034-ОЗ
"О внесении изменений в отдельные законы области о наделении вновь образованного муниципального образования области статусом муниципального округа"
Номер опубликования: 3500202512110010
Дата опубликования: 11.12.2025
Страница №13 из 57:
Увеличить