Официальное опубликование правовых актов
ОФИЦИАЛЬНОЕ ОПУБЛИКОВАНИЕ
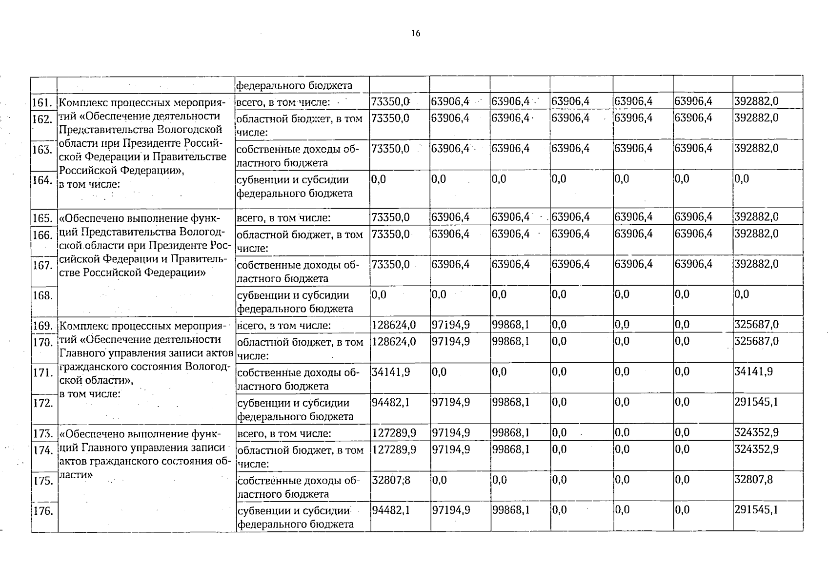
Постановление Правительства Вологодской области от 10.10.2025 № 1400
"О внесении изменений в постановление Правительства области от 7 октября 2019 года № 939"
Номер опубликования: 3500202510100009
Дата опубликования: 10.10.2025
Страница №16 из 95:
Увеличить