Официальное опубликование правовых актов
ОФИЦИАЛЬНОЕ ОПУБЛИКОВАНИЕ
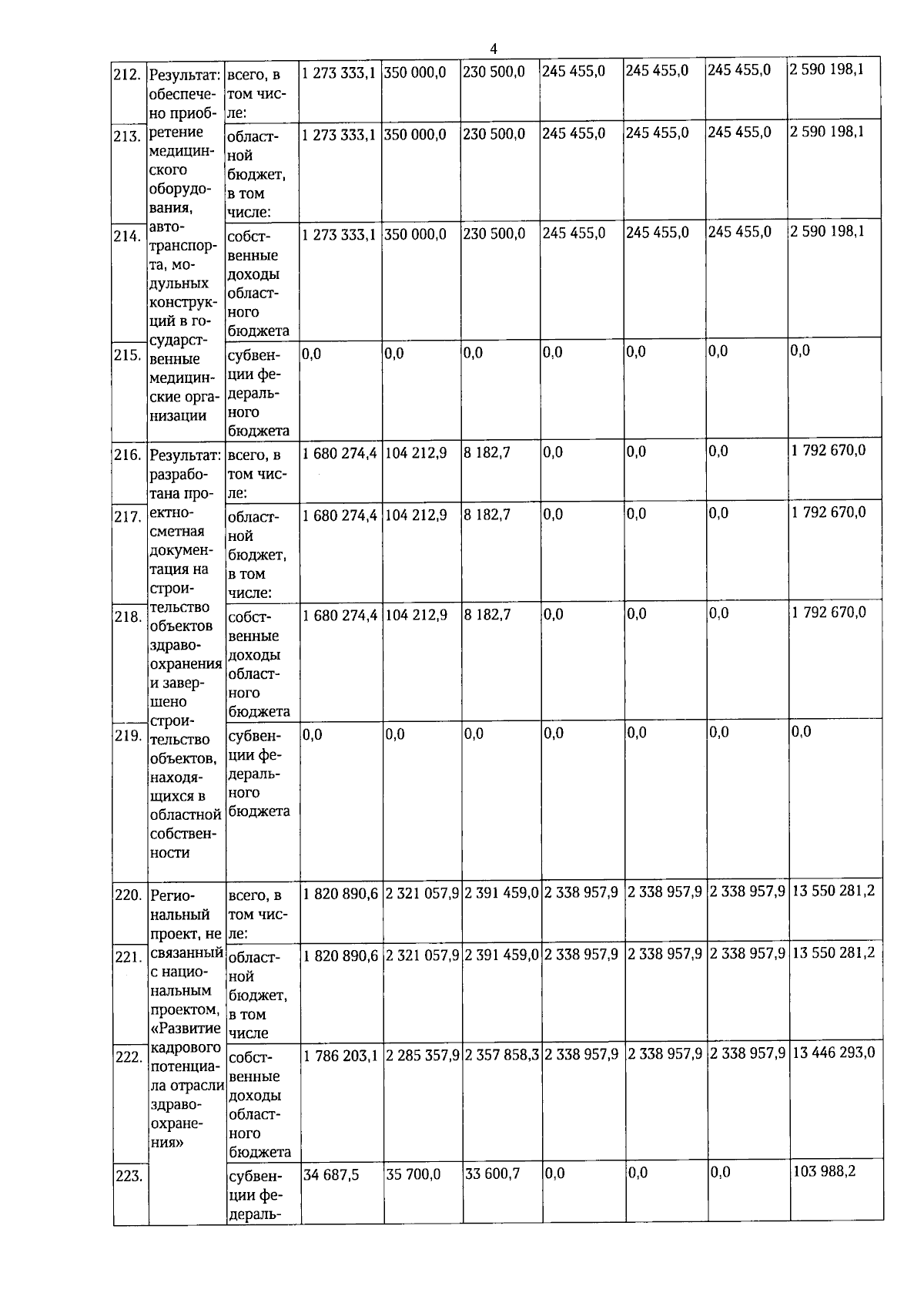
Постановление Правительства Вологодской области от 05.09.2025 № 1261
"О внесении изменений в постановление Правительства области от 31 мая 2019 года № 503"
Номер опубликования: 3500202509090002
Дата опубликования: 09.09.2025
Страница №4 из 19:
Увеличить