Официальное опубликование правовых актов
ОФИЦИАЛЬНОЕ ОПУБЛИКОВАНИЕ
Постановление Правительства Вологодской области от 13.08.2025 № 1128
"О внесении изменений в постановление Правительства области от 14 декабря 2020 года № 1483"
Номер опубликования: 3500202508150007
Дата опубликования: 15.08.2025
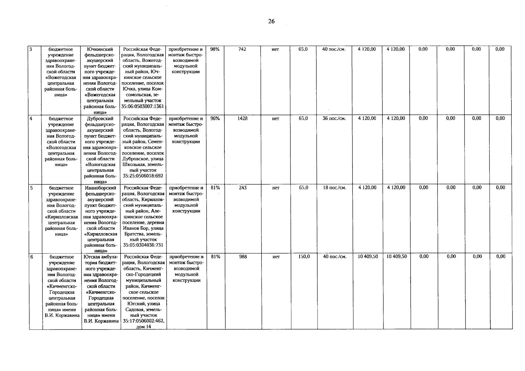
Страница №26 из 31:
Увеличить